KVAV

Krankenversicherungsaufsichtsverordnung

Verordnung betreffend die Aufsicht über die Geschäftstätigkeit in der privaten Krankenversicherung

Vom 18.4.2016

Zuletzt geändert am 19.12.2018

Anlage 1

(zu § 10 Absatz 5, § 11 Absatz 2 und § 13 Absatz 5) Prämienberechnung nach § 10 Absatz 5, § 11 Absatz 2 und § 13 Absatz 5


A. Prämienberechnung des Neuzugangs

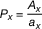
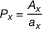
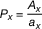
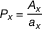
    x
  • = Alter
  • ω
  • = Endalter der Sterbetafel
  • lx
  • = Anzahl der Lebenden
  • qx
  • = Sterbenswahrscheinlichkeit
  • wx
  • = Stornowahrscheinlichkeit
  • Kx
  • = Kopfschaden
  • αx
  • = einmalige unmittelbare Abschlusskosten, gemessen in Jahresprämien
  • γ
  • = absolute Zuschläge
  • Δ
  • = relative Zuschläge, gemessen in Prozent der Bruttoprämie
  • i
  • = Rechnungszinsfuß

Diskontierungsfaktor:



Ausscheideordnung:

lx+1 = lx ·(1 – qx – wx )

Diskontierte Lebende:

Dx = lx · vx

Rentenbarwert:



Leistungsbarwert:



Jährliche Nettoprämie:



Jährliche gezillmerte Bruttoprämie:



B. Prämienberechnung bei Prämienanpassungen und Umstufungen

Die Rechnungsgrundlagen, die vor dem Zeitpunkt der Prämienanpassung gegolten haben, werden mit einem hochgestellten „a“ gekennzeichnet.



= einmalige Sanierungs- oder unmittelbare Abschlusskosten, gemessen im Mehrfachen der Differenz zwischen neuer und alter Jahresprämie des bereits Versicherten
u= erreichtes Alter zum Zeitpunkt der Prämienanpassung


= bisher gezahlte Prämie

Jährliche Bruttoprämie eines u-jährigen Versicherten nach der Prämienanpassung:



mit







Der Ausdruck für

ändert sich entsprechend, wenn

  • ein Kostenzuschlagssystem nach § 8 Absatz 4 Satz 4 verwendet wird,
  • die einmaligen Sanierungskosten in anderer Weise eingerechnet werden,
  • die unmittelbaren Abschlusskosten bei Umstufung in anderer Weise eingerechnet werden oder
  • eine andere Formel für die Berechnung der Prämie des Neuzugangs nach § 10 Absatz 5 verwendet wird.
Interpolationen der Rechenwerte auf den Zeitpunkt der Prämienanpassung oder der Umstufung sind zulässig.