FPackV

Fertigpackungsverordnung

Verordnung über Fertigpackungen und andere Verkaufseinheiten

Vom 18.11.2020

Anlage 3

(zu § 9 Absatz 1 Nummer 1, Absatz 2 Nummer 1, § 10 Absatz 1, Absatz 2, § 30 Absatz 3, § 34 Absatz 3, Absatz 4 sowie § 40 Absatz 2) Verfahren zur Prüfung der Füllmenge nach Gewicht oder Volumen gekennzeichneter Fertigpackungen und anderer Verkaufseinheiten durch die zuständigen Behörden

    0.
  • Vorbemerkungen
  • Die zuständigen Behörden der Länder prüfen mit einem geeigneten statistischen Stichprobenverfahren nach den anerkannten Regeln der Technik, wobei das Stichprobenverfahren in seiner Wirksamkeit mit der in der Europäischen Richtlinie 76/211/EWG in Anhang I Nummer 5 beschriebenen Bezugsmethode vergleichbar ist.
  • Die vorgenannten Anforderungen werden insbesondere durch den nachfolgenden Prüfplan abgedeckt.
  • 1.
  • Umfang der Prüfung
  • Die Prüfung besteht aus
      a)
    • der Feststellung der Losgröße,
    • b)
    • der Entnahme der zugehörigen Zufallsstichprobe,
    • c)
    • den zusätzlichen Feststellungen der Nummer 5,
    • d)
    • der Feststellung des Mittelwertes,
    • e)
    • der Feststellung der Einhaltung der zulässigen Minusabweichungen,
    • f)
    • der Feststellung der Einhaltung der Verkehrsfähigkeitsgrenze.
  • 2.
  • Feststellung der Losgröße
  • Werden die Fertigpackungen unmittelbar nach Abschluss des Herstellungsvorgangs geprüft, so entspricht der Umfang des Loses der maximalen Stundenleistung der Abfüllanlage, und zwar ohne Begrenzung des Losumfangs. In den übrigen Fällen ist die Stückzahl des Loses auf 10 000 Fertigpackungen begrenzt.
  • Kann bei Prüfung am Lager die Zugehörigkeit einer Lieferung zu einem Los nicht festgelegt werden, so wird die Losgröße durch die Anzahl gleich beschaffener Fertigpackungen des Lagerbestandes begrenzt.
  • 3.
  • Umfang der Stichproben
  • Bei der stichprobenweisen Prüfung der Fertigpackungen muss es sich um eine Zufallsstichprobe handeln. Der Stichprobenumfang bemisst sich nach Tabelle a, b oder f bei zerstörungsfreier Prüfung und nach Tabelle c, d oder e, wenn alle Fertigpackungen der Stichprobe zerstört werden müssen. Bei einer Losgröße von weniger als 10 Fertigpackungen kann eine zerstörende oder nicht zerstörende Prüfung auf Einhaltung der Werte der Verkehrsfähigkeit bei einzelnen oder bei allen Fertigpackungen vorgenommen werden.
  • Der Umfang sonstiger Prüfungen richtet sich nach Nummer 5.
      a)
    • Nicht-zerstörende Prüfung: normale Einfach-Stichprobenprüfung
      Nncdk
        100bis   500 50340,379
        501bis 3 200 80560,295
      3 201bis10 000125780,234
      10 001und mehr160890,207
    • b)
    • Nicht-zerstörende Prüfung: Vollprüfung
      N
      10bis99
    • Bei einer Losgröße von weniger als 100 Fertigpackungen erstreckt sich die nicht-zerstörende Prüfung auf sämtliche Fertigpackungen (Vollprüfung).
    • c)
    • Zerstörende Prüfung: Einfach-Stichprobenprüfung mit vermindertem Stichprobenumfang
      Nncdk
         10bis    99 5012,058
        100bis   500 8011,237
        501bis 3 20013120,847
      3 201bis10 00020120,640
      10 001und mehr30230,503
    • d)
    • Zerstörende Prüfung bei Abtropfgewichtskennzeichnung: Einfach-Stichprobenprüfung mit vermindertem Stichprobenumfang
      Nncdk
         10bis    99 52,058
        100bis   500 81,237
        501bis 3 200130,847
      3 201bis10 000200,640
      10 001und mehr300,503
    • e)
    • Zerstörende Prüfung
    • Einfach-Stichprobenprüfung mit vermindertem Stichprobenumfang für Fertigpackungen, die mit dem Zeichen „℮“ nach § 11 gekennzeichnet sind
      Nncdk
      Unabhängig vom Losumfang
      (N 100)
      20120,640
    • f)
    • Nicht zerstörende Prüfung für Fertigpackungen mit EG-Düngemitteln, Düngemitteln, die nicht als EG-Düngemittel bezeichnet sind sowie mit Bodenhilfsstoffen, Kultursubstraten und Pflanzenhilfsmitteln über 10 Liter
      Nn
      Unabhängig vom Losumfang
      (N 20)
      20
    In den Tabellen bedeuten:
    NLosgröße
    nStichprobenumfang
    cAnnahmezahl
    dRückweisezahl
    kFaktor zur Berechnung des Vertrauensbereichs;


    mit t als Zufallsvariable der Studentverteilung
  • 4.
  • Bestimmung der Füllmengen
  • Es sind in der Regel zu bestimmen:
      a)
    • Gewichte durch Wägung,
    • b)
    • Gewichte von Textilerzeugnissen im Sinne des Artikels 19 Absatz 3 der Verordnung (EU) Nr. 1007/2011 des Europäischen Parlaments und des Rates vom 27. September 2011 über die Bezeichnungen von Textilfasern und die damit zusammenhängende Etikettierung und Kennzeichnung der Faserzusammensetzung von Textilerzeugnissen und zur Aufhebung der Richtlinie 73/44/EWG des Rates und der Richtlinien 96/73/EG und 2008/121/EG des Europäischen Rates (ABl. L 272 vom 18.10.2011, S. 1) nach den allgemein anerkannten Regeln der Technik; als Gewicht gilt das Trockengewicht ohne Umhüllung, Einlage und dergleichen und ohne Beschwerung, wenn die Beschwerung nicht durch die Art des Erzeugnisses und die Herstellung bedingt ist, zuzüglich eines Feuchtigkeitszuschlages für die in Anhang IX der Verordnung (EU) Nr. 1007/2011 aufgeführten Fasern,
    • c)
    • Volumen durch Wägung in Verbindung mit einer Bestimmung der mittleren Dichte,
    • d)
    • Volumen bei Fertigpackungen mit EG-Düngemitteln, Düngemitteln, die nicht als EG-Düngemittel bezeichnet sind sowie mit Bodenhilfsstoffen, Kultursubstraten und Pflanzenhilfsmitteln über 10 Liter durch Wägung in Verbindung mit einer Bestimmung der Schüttdichte nach den anerkannten Regeln der Technik.
  • 5.
  • Zusätzliche Feststellungen
      a)
    • Messunsicherheit
    • Die Messunsicherheit des Prüfverfahrens ist zu berücksichtigen.
    • b)
    • Bestimmung der mittleren Tara
    • Die Tarastreuung kann vernachlässigt werden, wenn das Taragewicht im Mittel nicht mehr als 10 v. H. der Nennfüllmenge beträgt.
    • Die Tarastreuung kann vernachlässigt werden, wenn die Standardabweichung der Taragewichte von 10 Taraproben bei der Prüfung am Abfüllort und von 5 Taraproben bei der Prüfung im Lager oder in den Räumen der zuständigen Behörde nicht größer als das 0,25fache der zulässigen Minusabweichung ist.
    • Als Taramittelgewicht gilt bei der Prüfung am Abfüllort das Mittel von 10, bei der Prüfung im Lager oder in den Räumen der zuständigen Behörde das Mittel von 5 Taraproben.
    • In allen anderen Fällen ist das Gewicht jeder einzelnen Leerpackung festzustellen.
    • c)
    • Bestimmung des Trocknungsverlustes bei Textilerzeugnissen
    • Der mittlere Trocknungsverlust des Erzeugnisses ist an mindestens 3 Fertigpackungen aus der Stichprobe nach Nummer 3 Buchstabe a und b zu bestimmen. Das Gesamtgewicht dieser Trocknungsprobe muss mindestens 35 Gramm betragen.
  • 6.
  • Feststellung des Mittelwertes
      a)
    • Die Vorschriften über die mittlere Füllmenge sind erfüllt, wenn der festgestellte Mittelwert
    • der Füllmengen xi,
        aa)
      • aus der Stichprobe nach Nummer 3 Buchstabe a, c, d und e vermehrt um den Betrag k * s oder
      • bb)
      • bei einer Vollprüfung nach Nummer 3 Buchstabe b
      größer oder gleich der Nennfüllmenge ist.
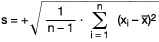
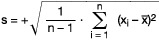
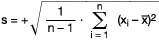
    • Der k-Wert ergibt sich aus den Tabellen unter Nummer 3; s ist die Standardabweichung der Füllmengen xi der Stichprobe.


    • b)
    • Fertigpackungen mit nach Gewicht gekennzeichneten Textilerzeugnissen
    • Von dem festgestellten Mittelwert der Stichprobe und den festgestellten Einzelgewichten xi der Stichprobe wird der mittlere Trocknungsverlust abgezogen; der aus Anhang IX der Verordnung (EU) Nr. 1007/2011 berechnete Feuchtigkeitszuschlag wird hinzugerechnet. Im Übrigen gilt Nummer 6 Buchstabe a.
  • 7.
  • Feststellung der Einhaltung der zulässigen Minusabweichungen
      a)
    • Normale Einfach-Stichprobenprüfung nach Nummer 3 Buchstabe a
    • Ist die Anzahl der Fertigpackungen, die die zulässigen Minusabweichungen überschreiten, gleich der Rückweisezahl d oder größer, sind die Vorschriften nicht erfüllt.
    • b)
    • Vollprüfung nach Nummer 3 Buchstabe b
    • Ist die Anzahl der Fertigpackungen, die die zulässigen Minusabweichungen überschreiten, größer als 2 v. H. der Anzahl der in der Vollprüfung geprüften Fertigpackungen, sind die Vorschriften nicht erfüllt.
    • c)
    • Einfach-Stichprobenprüfung nach Nummer 3 Buchstabe c und e
    • Ist die Anzahl der Fertigpackungen, die die zulässigen Minusabweichungen überschreiten, gleich der Rückweisezahl d oder größer, so sind die Vorschriften nicht erfüllt.
    • d)
    • Prüfung des Abtropfgewichtes
    • Abtropfgewichte sind nach den allgemein anerkannten Regeln der Technik zu bestimmen. Nummer 1 bis 6 gelten entsprechend.
  • 8.
  • Ungleiche Nennfüllmenge
  • Die Regelungen der Nummern 4 und 5 Buchstabe a und b gelten auch für Fertigpackungen mit ungleicher Nennfüllmenge.
  • 9.
  • Prüfung anderer Verkaufseinheiten
  • Die Nummern 1 bis 7 dieser Anlage sind auf die Prüfung anderer Verkaufseinheiten entsprechend anzuwenden.