16. BImSchV

Verkehrslärmschutzverordnung

Sechzehnte Verordnung zur Durchführung des Bundes-Immissionsschutzgesetzes
Verkehrslärmschutzverordnung

Vom 12.6.1990

Zuletzt geändert am 4.11.2020

Anlage 2

(zu § 4) Berechnung des Beurteilungspegels für Schienenwege (Schall 03)

Inhaltsverzeichnis

    1.
  • Berechnungsverfahren
  • 2.
  • Begriffe, Festlegungen
  • 3.
  • Modellierung der Schallquellen
  • 4.
  • Schallemissionen von Eisenbahnen
  • 5.
  • Schallemissionen von Straßenbahnen
  • 6.
  • Schallausbreitung
  • 7.
  • Berechnung der Schallimmission
  • 8.
  • Beurteilungspegel
  • 9.
  • Berücksichtigung von abweichender Bahntechnik und von schalltechnischen Innovationen
  • 10.
  • Zugänglichkeit von technischen Regeln und Normen

    1.
  • Berechnungsverfahren
  • Für Schienenwege wird der Beurteilungspegel Lr in der Nachbarschaft getrennt für den Beurteilungszeitraum Tag (6 Uhr bis 22 Uhr) und den Beurteilungszeitraum Nacht (22 Uhr bis 6 Uhr) entsprechend Nummer 8.1 angegeben. Grundlage für die Berechnung des Beurteilungspegels sind die Anzahl der prognostizierten Züge der jeweiligen Zugart sowie die den betrieblichen Planungen zugrunde liegenden Geschwindigkeiten auf dem zu betrachtenden Planungsabschnitt einer Bahnstrecke.
  • Auf der Grundlage dieser Prognosedaten erfolgt die Berechnung des Beurteilungspegels in folgenden Schritten:
    • Aufteilung der zu betrachtenden Bahnstrecke in einzelne Gleise und Abschnitte u. a. mit gleicher Verkehrszusammensetzung, gleicher Geschwindigkeit, gleicher Fahrbahnart und gleichem Fahrflächenzustand nach Nummer 3.1 sowie Identifizierung und Festlegung der Schallquellen von Rangier- und Umschlagbahnhöfen nach Nummer 4.8;
    • ausgehend von den Mengen je Stunde nFz aller Arten Fz von Fahrzeugeinheiten, Berechnung der längenbezogenen bzw. flächenbezogenen Pegel der Schallleistung in Oktavbändern, getrennt für jeden Abschnitt einer Strecke nach Nummer 3.2 bzw. für jede Schallquelle eines Rangier- und Umschlagbahnhofs in allen Höhenbereichen h nach Nummer 3.3;
    • Zerlegung der Abschnitte in Teilstücke kS bzw. Zerlegung der Flächen in Teilflächen kƒ zur Bildung von Punktschallquellen mit zugeordnetem Pegel der Schallleistung unter Berücksichtigung der Richtwirkung und der Abstrahlcharakteristik nach den Nummern 3.4 und 3.5;
    • Berechnung der Schallemissionen von Eisenbahnen nach Nummer 4 und Beiblatt 1 bzw. Beiblatt 3 und von Straßenbahnen nach Nummer 5 und Beiblatt 2;
    • Berechnung der Schallimmission durch Ausbreitungsrechnung nach Nummer 6;
    • Zusammenfassung der Schallimmissionsanteile am Immissionsort nach Nummer 7;
    • Bildung des Beurteilungspegels für die maßgeblichen Beurteilungszeiträume nach Nummer 8.
  • Die für die Berechnung verwendeten Softwareprodukte müssen die normgerechte Abbildung dieser Vorschrift sicherstellen; dies kann erfolgen in Anlehnung an die DIN 45687, Akustik – Software-Erzeugnisse zur Berechnung der Schallimmissionen im Freien – Qualitätsanforderungen und Prüfbestimmungen, Ausgabe Mai 2006.
  • 2.
  • Begriffe, Festlegungen
      2.1
    • Bahntechnische Begriffe
        2.1.1
      • Eisenbahnen
      • Fahrzeuge und Infrastruktureinrichtungen, die im Allgemeinen Eisenbahngesetz (AEG) aufgeführt sind; zur Abgrenzung von Straßenbahnen (vgl. 2.1.9)
      • 2.1.2
      • Fahrzeugeinheit
      • Kleinster im Fahrbetrieb nicht zerlegbarer Teil eines Eisenbahnzuges bzw. ein Straßenbahnfahrzeug
      • 2.1.3
      • Personenbahnhöfe, Haltepunkte und Haltestellen
      • Einrichtungen, an denen Fahrgäste ein-, um- oder aussteigen
      • Anmerkung 1: Bei Eisenbahnen wird in der EBO begrifflich zwischen Bahnhof (§ 4 Absatz 2 EBO), Haltepunkt (§ 4 Absatz 8 EBO) und Haltestelle (§ 4 Absatz 9 EBO) unterschieden. Bei Straßenbahnen wird der Begriff der Haltestelle im Allgemeinen (§ 31 der Straßenbahn-Bau- und Betriebsordnung – BOStrab) und der Doppelhaltestelle (§ 31 Absatz 1 Nummer 3 BOStrab) gebraucht. In dieser Anlage werden die Begriffe je nach Verkehrsart (Eisenbahn/Straßenbahn) verwendet.
      • Anmerkung 2: Bei Eisenbahnen können Personenbahnhöfe mit anderen Bahnanlagen, z. B. mit Verladeeinrichtungen von Autoreisezügen, kombiniert sein.
      • 2.1.4
      • Rangierbahnhöfe
      • Bahnhöfe für den Güterverkehr, an denen in erheblichem Umfang Güterzüge gebildet oder zerlegt werden
      • 2.1.5
      • Schienenstegdämpfer
      • Vorrichtungen zur Dämpfung der Schallabstrahlung von Schienenstegen
      • 2.1.6
      • Schienenstegabschirmung
      • Vorrichtungen zur Abschirmung der Schallabstrahlung von Schienenstegen
      • 2.1.7
      • Schienenweg
      • Gleisanlagen mit Unter- und Oberbau einschließlich einer Oberleitung, nach den Nummern 2.1.1 und 2.1.9, auf denen durch Fahrvorgänge Schallimmissionen hervorgerufen werden.
      • Anmerkung 1: Die Schallimmissionen können von den Rollgeräuschen, aerodynamischen Geräuschen, Aggregat- und Antriebsgeräuschen der Schienenfahrzeuge hervorgerufen werden.
      • Anmerkung 2: Betriebsanlagen, von denen andere Schallimmissionen ausgehen, wie z. B. Unterwerke oder Umrichterwerke, Wartungs- und Verladeeinrichtungen sowie Waschanlagen, sind nicht Gegenstand dieser Verordnung.
      • 2.1.8
      • Schwellengleis
      • Oberbau, bestehend aus Schienen auf Holz-, Beton- oder Stahlschwellen im Schotterbett
      • 2.1.9
      • Straßenbahnen
      • Fahrzeuge und Infrastruktureinrichtungen, die im Personenbeförderungsgesetz (PBefG) und der Straßenbahn-Bau- und Betriebsordnung (BOStrab) aufgeführt sind; zur Abgrenzung von Eisenbahnen (vgl. 2.1.1), abweichend von § 4 Absatz 2 PBefG werden Schwebebahnen oder ähnliche Bahnen besonderer Bauart nicht als Straßenbahnen im Sinne dieser Anlage angesehen.
      • 2.1.10
      • Straßenbündiger Bahnkörper
      • Gleise, die in Straßenfahrbahnen oder Gehwegflächen eingebettet sind
      • 2.1.11
      • U-Bahnen
      • Bahnen mit Stromschienen, die als unabhängige Bahnen durch ihre Bauart oder Lage auf der gesamten Streckenlänge von anderen öffentlichen Verkehren unabhängig sind und keine Bahnübergänge (§ 1 Absatz 2 des Eisenbahnkreuzungsgesetzes) aufweisen
      • 2.1.12
      • Umschlagbahnhöfe
      • Anlagen des kombinierten Verkehrs als Teil des öffentlichen Eisenbahnverkehrs mit Gleisen für an- und abfahrende Güterzüge, mit Lademitteln und Ladestraßen, die an das öffentliche Straßennetz anbinden, ggf. mit Abstell- oder Zwischenlagerflächen
      • 2.1.13
      • Verbundstoff-Klotzbremse
      • Klotzbremsen mit Bremssohlen aus Verbundstoffen; diese Bremsen verwenden z. B. Verbundstoffbremsklotzsohlen mit hohem Reibwertniveau (K-Sohle) oder niedrigem Reibwertniveau (LL-Sohle).
    • 2.2
    • Schalltechnische Begriffe
        2.2.1
      • A-bewerteter Schalldruckpegel
      • LpA
      • Zehnfacher dekadischer Logarithmus des Quotienten aus dem Quadrat des Effektivwerts des Schalldrucks mit der Frequenzbewertung A zusammen mit einer Zeitbewertung und dem Quadrat des Bezugsschalldrucks p0 = 20 μPa in Luft
      • Anmerkung 1: Die Frequenzbewertung A und die Zeitbewertung (z. B. F, S) werden als Index des Schalldruckpegels Lp angegeben, z. B. LpAF.
      • Anmerkung 2: Der Schalldruckpegel wird in Dezibel, dB, angegeben.
      • 2.2.2
      • A-Bewertung
      • A
      • Frequenzbewertung nach DIN EN 61672-1, Elektroakustik – Schallpegelmesser – Teil 1; Anforderungen, Ausgabe Oktober 2003
      • Anmerkung: Die Kennzeichnung eines A-bewerteten Pegels wird normgerecht durch den Index A am Formelzeichen L vorgenommen, nicht durch Anhängen des Formelzeichens A an die Einheit dB.
      • 2.2.3
      • Abschirmmaß
      • Dz
      • Abnahme des Schalldruckpegels an einem Ort hinter einem Hindernis gegenüber dem Schalldruckpegel ohne Hindernis bei einer frei fortschreitenden Schallwelle
      • Anmerkung: Das Abschirmmaß wird in Dezibel, dB, angegeben.
      • 2.2.4
      • Absorptionsverlust
      • Dƿ
      • Verlust von Schallenergie bei Reflexionen
      • Anmerkung: Der Absorptionsverlust wird in Dezibel, dB, angegeben.
      • 2.2.5
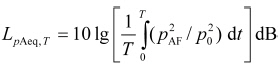
      • Äquivalenter Dauerschalldruckpegel
      • Lp,Aeq,T
      • A-bewerteter energieäquivalenter Mittelungspegel für einen über die Zeit T veränderlichen Schalldruckpegel
      • Anmerkung: Der äquivalente Dauerschallpegel Lpeq,T wird (beispielsweise für die Frequenzbewertung A und Zeitbewertung F) wie folgt gebildet:


      • (siehe auch Mittelungspegel)
      • Anmerkung: Der äquivalente Dauerschalldruckpegel wird in Dezibel, dB, angegeben.
      • 2.2.6
      • Beurteilungspegel
      • Lr
      • Größe zur Kennzeichnung der Stärke der Schallimmission während der Beurteilungszeit Tr unter Berücksichtigung von Zu- oder Abschlägen für bestimmte Geräusche, Zeiten oder Situationen; wenn keine Zu- oder Abschläge zu berücksichtigen sind, ist der äquivalente Dauerschallpegel der Beurteilungspegel:
      • Anmerkung 1: Der Beurteilungspegel Lr wird wie folgt aus dem äquivalenten Dauerschallpegel LpAFeq,Ti und den Zuschlägen Ki während der Teilzeitintervalle Ti für die Beurteilungszeit Tr gebildet:


      • Anmerkung 2: Der Beurteilungspegel wird in Dezibel, dB, angegeben.
      • 2.2.7
      • Bezugshöhe für Schallquellen
      • SO
      • Schienenoberkante für Schienenfahrzeuge, bezogen auf die Gleisachse
      • FO
      • Fahrwegoberkante für Straßenfahrzeuge, bezogen auf die Fahrbahn
      • 2.2.8
      • Einzelereignispegel
      • Lp,T0= 1s
      • Der auf 1 Sekunde bezogene äquivalente Dauerschalldruckpegel eines in der Zeitspanne T auftretenden Schallereignisses
      • Anmerkung 1:  

      • Anmerkung 2: In Oktavbändern wird der A-bewertete Einzelereignispegel mit LEA,ƒ bezeichnet.
      • Anmerkung 3: Der Einzelereignisschalldruckpegel wird in Dezibel, dB, angegeben.
      • 2.2.9
      • Emissionspegel
      • LmE
      • Äquivalenter Dauerschalldruckpegel nach Akustik 03: Richtlinie zur Berechnung der Schallimmissionen von Schienenwegen – Schall 03, Ausgabe 1990, bekannt gemacht im Amtsblatt der Deutschen Bundesbahn Nr. 14 vom 4. April 1990 unter der lfd. Nummer 133 für einen bestimmten Zeitraum, z. B. für die Tagzeit, bei freier Schallausbreitung von einem unabgeschirmten Gleis/Fahrweg, abhängig von Fahrbahneigenschaften, vom Fahrflächenzustand und von Zug-/Fahrzeugmengen, in 25 m Abstand von der Gleis-/Fahrwegachse und in 3,5 m Höhe über der Schienen-/Fahrwegoberkante
      • Anmerkung: Der Emissionspegel lässt sich für ebenes Gelände durch LmE = LW'A –19 dB aus dem Pegel der längenbezogenen Schallleistung LW'A abschätzen.
      • 2.2.10
      • Immissionsort
      • IO
      • Maßgeblicher Ort für die Ermittlung eines Beurteilungspegels, nach dieser Anlage
        • bei Gebäuden in Höhe der Geschossdecke (0,2 m über der Fensteroberkante) auf der Fassade der zu schützenden Räume und
        • bei Außenwohnbereichen 2 m über der Mitte der als Außenwohnbereich genutzten Fläche
      • Anmerkung: Für Immissionsorte an Gebäuden werden Reflexionen an der zugehörigen Fassade nicht berücksichtigt.
      • 2.2.11
      • Mittelungspegel
      • Lm
      • Einzahlwert zur Beschreibung von Schallvorgängen mit zeitlich beliebig schwankendem Pegel oder von Schallfeldern mit örtlich unterschiedlichen Schallpegeln oder eine Kombination daraus
      • Anmerkung: Der A-bewertete Mittelungspegel für einen zeitlich veränderlichen Schalldruckpegel wird äquivalenter Dauerschalldruckpegel genannt.
      • 2.2.12
      • Oktavpegel
      • Im Frequenzbereich einer Oktave angegebener Schallpegel
      • 2.2.13
      • Pegel der flächenbezogenen A-bewerteten Schallleistung
      • LW"A
      • A-bewerteter Mittelungspegel zur Beschreibung der Schallemission von einer Flächenschallquelle; nach dieser Anlage angegeben für die mittlere Höhe der Schienen-/Fahrwegoberkanten in einer flächenhaften Bahnanlage
      • Anmerkung: Der Pegel wird unter Bezug auf eine Schallleistung von 1 pW und eine Fläche von 1 m2 in Dezibel, dB, angegeben.
      • 2.2.14
      • Pegel der längenbezogenen A-bewerteten Schallleistung
      • LW'A
      • A-bewerteter Mittelungspegel zur Beschreibung der Schallemission von einer Linienschallquelle; nach dieser Anlage angegeben für verschiedene Höhenbereiche über einem Strecken- oder Fahrbahnabschnitt mit bestimmten Fahrbahneigenschaften und Fahrflächenzuständen bei Betrieb mit bestimmten Fahrzeugen und Geschwindigkeiten
      • Anmerkung: Der Pegel wird unter Bezug auf eine Schallleistung von 1 pW und eine Länge von 1 m in Dezibel, dB, angegeben.
      • 2.2.15
      • Pegelkorrektur für die Auffälligkeit von Geräuschen
      • KL
      • Pegelkorrektur zur Berücksichtigung der erhöhten Auffälligkeit von Geräuschen mit ausgeprägter Tonhöhe, Impuls- oder Informationshaltigkeit
      • Anmerkung: Die Pegelkorrektur für die Auffälligkeit von Geräuschen wird in Dezibel, dB, angegeben.
      • 2.2.16
      • Pegelkorrekturen für Geräusche von Brücken und Viadukten ohne Schallschutz
      • KBr
      • Pegelkorrekturen zur Berücksichtigung des rad- und schienenbedingten Rollgeräusches bei der Fahrt über Brücken und Viadukte ohne Schallschutz
      • Anmerkung 1: Diese Pegelkorrektur beinhaltet auch die Störwirkung von tieffrequenten Geräuschanteilen, die durch die A-Bewertung des Schallpegels nicht angemessen berücksichtigt wird.
      • Anmerkung 2: Als Viadukt wird in dieser Anlage eine Brücke mit mehreren Feldern bezeichnet.
      • Anmerkung 3: Die Pegelkorrekturen für Geräusche von Brücken und Viadukten werden in Dezibel, dB, angegeben.
      • 2.2.17
      • Pegelkorrekturen für Geräusche von Brücken und Viadukten mit Schallschutz
      • KBr + KLM
      • Pegelkorrekturen zur Berücksichtigung des rad- und schienenbedingten Rollgeräusches bei der Fahrt über Brücken mit Schallschutz
      • Anmerkung 1: Die gesonderte Ausweisung der Wirkung von Schallminderungsmaßnahmen dient dem Anreiz zur Anwendung emissionsarmer Brückenkonstruktionen.
      • Anmerkung 2: Die Pegelkorrekturen für Geräusche von Brücken und Viadukten mit Schallschutz werden in Dezibel, dB, angegeben.
      • 2.2.18
      • Pegelkorrektur Straße – Schiene
      • KS
      • Pegelkorrektur zur Berücksichtigung der geringeren Störwirkung von Schienenverkehrsgeräuschen gegenüber Straßenverkehrsgeräuschen
      • Anmerkung 1: Die Anwendung der Pegelkorrektur wurde in § 3 in Verbindung mit Anlage 2 der Verkehrslärmschutzverordnung vom 12. Juni 1990 (BGBl. I S. 1036) festgelegt und durch das Elfte Gesetz zur Änderung des Bundes-Immissionsschutzgesetzes vom 2. Juli 2013 (BGBl. I S. 1943) mit Wirkung zum 1. Januar 2015 für Eisenbahnen und zum 1. Januar 2019 für Straßenbahnen abgeschafft (vgl. § 43 Absatz 2 Satz 2 und 3 des Bundes-Immissionsschutzgesetzes).
      • Anmerkung 2: Die Pegelkorrektur Straße – Schiene wird in Dezibel, dB, angegeben.
      • 2.2.19
      • Richtwirkungsmaß
      • DI
      • Maß zur Beschreibung der ungleichförmigen Abstrahlung einer Schallquelle in der Luft; nach dieser Anlage einheitlich für alle Schallquellen einer Strecke in allen Frequenzbändern
      • Anmerkung: Das Richtwirkungsmaß wird in Dezibel, dB, angegeben.
      • 2.2.20
      • Schallabsorption
      • Umwandlung von Schallenergie aus einem Raum oder Raumbereich in Wärme
      • Anmerkung: Die Schallabsorption wird in Dezibel, dB, angegeben.
      • 2.2.21
      • Schalldruckpegel
      • Lp
      • Zehnfacher dekadischer Logarithmus des Quotienten aus dem Quadrat des Schalldrucks p und dem Quadrat des Bezugsschalldrucks p0 = 20 µPa
      • Anmerkung: Der Schalldruckpegel wird in Dezibel, dB, angegeben.
      • 2.2.22
      • Schallemission
      • Aussendung von Schall
      • 2.2.23
      • Schallimmission
      • Auftreffen von Schall am Immissionsort
      • 2.2.24
      • Schallleistungspegel
      • LW
      • Mittelungspegel zur Beschreibung der Schallemission einer Einzelschallquelle
      • Anmerkung: Der Schallleistungspegel wird unter Bezug auf eine Schallleistung von 1 pW in Dezibel, dB, angegeben.
      • 2.2.25
      • Schallreflexionsgrad
      • ƿ
      • Reflektierter Anteil der Schallenergie, bezogen auf die einfallende Schallenergie, für eine gegebene Frequenz und festgelegte Bedingungen einer reflektierenden Fläche
    • 2.3
    • Formelzeichen, Einheiten, Zähler
    • Tabelle 1: Formelzeichen, Einheiten und Bedeutung

      SpalteABC
      ZeileFormelzeichenEinheitBedeutung
       1ɑAdBA-bewerteter Gesamtpegel der längenbezogenen Schallleistung unter bestimmten Bedingungen
       2ΔɑdBDifferenz zum Gesamtpegel ɑA im Oktavband ƒ
       3AdBAusbreitungs-Dämpfungsmaß
       4AdivdBDämpfungsmaß infolge geometrischer Ausbreitung
       5AatmdBDämpfungsmaß infolge Luftabsorption
       6AgrdBDämpfungsmaß infolge Bodeneinfluss
       7AbardBDämpfungsmaß infolge Abschirmung durch Hindernisse
       8bGeschwindigkeitsfaktor
       9cdBZähler für Pegelkorrekturen c1 und c2
      10c1dBPegelkorrektur für Fahrbahnarten
      11c2dBPegelkorrektur für Fahrflächenzustand
      12C2Abschirmfaktor bei Einfachbeugung
      13C3Zusätzlicher Abschirmfaktor bei Mehrfachbeugung
      14dmLaufweglänge des Schalls zwischen Schallquelle und Immissionsort
      15dpmHorizontale Entfernung zwischen Schallquelle und Immissionsort
      16drmAbstand letzte Beugungskante – Immissionsort
      17dsmAbstand Schallquelle – 1. Beugungskante
      18dsomAbstand Schallquelle – Reflektor
      19dormAbstand Reflektor – Immissionsort
      20dПmAbstand Schallquelle – Immissionsort parallel zur Beugungskante
      21DIdBRichtwirkungsmaß
      22DIrdBRichtwirkungsmaß des reflektierten Schalls
      23DreƒldBPegelkorrektur für reflektierende Schallschutzwand mit absorbierendem Sockel
      24DzdBAbschirmmaß
      25DρdBReflexionsdämpfungsmaß
      26DΩdBRaumwinkelmaß
      27e, e1...mAbstand zwischen Beugungskanten
      28ƒZähler für Oktavband
      29ƒmOktavbandmittenfrequenz
      30FzZähler für Fahrzeugkategorie
      31hZähler für Höhenbereich
      32habsmHöhe des absorbierenden Sockels einer Schallschutzwand
      33hgmHöhe der Schallquelle über dem Boden
      34hLSWmMittlere Höhe einer Schallschutzwand über der Schienenoberkante
      35hmmMittlere Höhe über dem Boden
      36hsmHöhe der Schallquelle über der Schienenoberkante
      37hrmHöhe des Immissionsortes über dem Boden
      38iZähler für Einzelschallquelle
      39jZähler für Linienquelle
      40kdBZähler für Pegelkorrekturen K
      41KdBPegelkorrekturen
      42KBrdBPegelkorrektur für Brücken
      43kFZähler für Teilstück einer Fläche
      44KLMdBPegelkorrektur für Schallminderungsmaßnahmen an Brücken
      45KLdBPegelkorrektur für die Auffälligkeit von Geräuschen
      46KLAdBPegelkorrektur für Schallschutzmaßnahmen gegen die Auffälligkeit von Geräuschen
      47KmetKorrekturfaktor für meteorologische Einflüsse
      48kSZähler für Teilstück einer Linie bzw. Strecke
      49KSdBPegelkorrektur zur Berücksichtigung der geringeren Störwirkung des Schienenverkehrslärms
      50lmLänge
      51lhmHorizontalabmessung eines Hindernisses auf dem Schallausbreitungsweg
      52llmSenkrechter Abstand zwischen Verbindungslinie Quelle – Empfänger und 1. Endpunkt des Hindernisses auf dem Schallausbreitungsweg
      53lrmSenkrechter Abstand zwischen Verbindungslinie Quelle – Empfänger und 2. Endpunkt des Hindernisses auf dem Schallausbreitungsweg
      54lminmKleinste Abmessung des Reflektors
      55LEAdBA-bewerteter Einzelereignispegel je Oktavband ƒ
      56Lp,AeqdBÄquivalenter Dauerschalldruckpegel
      57Lp,Aeq,TagdBÄquivalenter Dauerschalldruckpegel für den Beurteilungszeitraum Tag (6 Uhr bis 22 Uhr)
      58Lp,Aeq,NachtdBÄquivalenter Dauerschalldruckpegel für den Beurteilungszeitraum Nacht (22 Uhr bis 6 Uhr)
      59LrdBBeurteilungspegel
      60LWAdBA-bewerteter Gesamtpegel der Schallleistung
      61ΔLW,ƒdBPegeldifferenz zum A-bewerteten Gesamtpegel der Schallleistung im Oktavband ƒ
      62LW'AdBA-bewerteter Gesamtpegel der längenbezogenen Schallleistung
      63LW"AdBA-bewerteter Gesamtpegel der flächenbezogenen Schallleistung
      64ΔLW',ƒdBPegeldifferenz zum A-bewerteten Gesamtpegel der längenbezogenen Schallleistung im Oktavband ƒ
      65LWA,imdBA-bewerteter Gesamtpegel der Schallleistung der Spiegelschallquelle
      66mTeilquellennummer
      67nAchsAnzahl der Achsen je Fahrzeugeinheit
      68nFzAnzahl der Fahrzeuge je Stunde
      69niAnzahl der Ereignisse je Stunde an der Punktschallquelle
      70njAnzahl der Ereignisse je Stunde an der Linienschallquelle
      71nQAnzahl der Schallquellen je Fahrzeugeinheit
      72qAnzahl der Schallquellen im Rangier- und Umschlagbahnhof
      73rmRadius
      74RIndex für Rangierbahnhof
      75Sm2Fläche
      76TsZeitdauer
      77vkm/hGeschwindigkeit
      78wZähler für Ausbreitungsweg
      79zmUmweg eines Schallstrahls durch Beugung
      80αdB/kmAbsorptionskoeffizient
      81βRadReflexionswinkel
      82ϬRadWinkel der Schallabstrahlung
      83λmSchallwellenlänge
      84ρSchallreflexionsgrad


    • Tabelle 2: Abkürzungen

      SpalteAB
      ZeileAbkürzungenBedeutung
       1büGbesonders überwachtes Gleis
       2E-LokElektrolokomotive
       3ETElektrotriebwagen
       4FOFahrbahnoberkante
       5HGVHochgeschwindigkeitsverkehr
       6IOImmissionsort
       7RbfRangierbahnhof
       8SOSchienenoberkante
       9UbfUmschlagbahnhof
      10V-LokVerbrennungslokomotive (Diesellok)
      11VTVerbrennungstriebwagen
  • 3.
  • Modellierung der Schallquellen
      3.1
    • Aufteilung in Abschnitte gleichmäßiger Schallemission
    • Zu beurteilende Strecken werden in Abschnitte mit gleichmäßiger Schallemission nach folgenden Kriterien aufgeteilt:
      • Verkehrszusammensetzung,
      • Geschwindigkeitsklassen,
      • Fahrbahnart,
      • Fahrflächenzustand,
      • Bahnhofsbereiche und Haltestellen,
      • Brücken und Viadukte,
      • Bahnübergänge,
      • Kurvenradien.
    • Für die so entstehenden Abschnitte sind einheitliche Pegel der längenbezogenen Schallleistung zu ermitteln.
    • Zu beurteilende Rangier- und Umschlagbahnhöfe werden durch Schallquellen nach Tabelle 10 beschrieben. Die jeweilige Lage der Schallquelle wird entsprechend ihrer geometrischen Ausdehnung als Punkt- oder Linienschallquelle mit der dazugehörigen Quellhöhe nach Tabelle 10 in kartesischen Koordinaten angegeben. Bereiche des Rangier- bzw. Umschlagbahnhofs mit mehreren unterschiedlichen Schallquellen eines Höhenbereichs, jedoch mit gleichmäßiger Schallabstrahlung dürfen zu größeren Flächenschallquellen zusammengefasst werden. Maßgeblich für die Aufteilung von Rangier- und Umschlagbahnhöfen in Flächenschallquellen sind gleichartige Anlagenteile und Betriebsabläufe auf der jeweiligen Fläche, die einheitlich durch einen Pegel der flächenbezogenen Schallleistung zu beschreiben sind.
    • An Rangier- und Umschlagbahnhöfen vorbeiführende Eisenbahn- oder Straßenbahnstrecken werden wie sonstige Strecken behandelt (siehe Nummer 2.2.18).
    • 3.2
    • Schallleistungspegel für Eisenbahn- und Straßenbahnstrecken
    • Der Pegel der längenbezogenen Schallleistung LW'A,ƒ,h,m,Fz im Oktavband ƒ, im Höhenbereich h, infolge einer Teil-Schallquelle m (siehe Tabelle 5 und Tabelle 13), für eine Fahrzeugeinheit der Fahrzeug-Kategorie Fz je Stunde wird nach folgender Gleichung (Gl. 1) berechnet:


    • Dabei bezeichnet:
      ɑA,h,m,FzA-bewerteter Gesamtpegel der längenbezogenen Schallleistung bei
      der Bezugsgeschwindigkeit v0 = 100 km/h auf Schwellengleis mit durchschnittlichem Fahrflächenzustand, nach Beiblatt 1 und 2, in dB,
      Δɑƒ,h,m,FzPegeldifferenz im Oktavband ƒ, nach Beiblatt 1 und 2, in dB,
      nQAnzahl der Schallquellen der Fahrzeugeinheit nach Nummer 4.1 bzw. 5.1,
      nQ,0Bezugsanzahl der Schallquellen der Fahrzeugeinheit nach Nummer 4.1 bzw. 5.1,
      bƒ,h,mGeschwindigkeitsfaktor nach Tabelle 6 bzw. 14,
      vFzGeschwindigkeit nach Nummer 4.3 bzw. 5.3.2, in km/h,
      v0Bezugsgeschwindigkeit, v0 = 100 km/h,


      Summe der c Pegelkorrekturen für Fahrbahnart (c1) nach Tabelle 7 bzw. 15 und Fahrfläche (c2) nach Tabelle 8, in dB,


      Summe der k Pegelkorrekturen für Brücken nach Tabelle 9 bzw. 16 und die Auffälligkeit von Geräuschen nach Tabelle 11, in dB.
    • Anmerkung: In Beiblatt 1 und 2 sind die Indizes h, m und Fz nicht mitgeführt.
    • In den Berechnungen werden die acht Oktavbänder ƒ mit den Mittenfrequenzen von 63 Hz bis 8 000 Hz berücksichtigt. Die zu verwendenden Parameter sind in Nummer 4 für Eisenbahnen und in Nummer 5 für Straßenbahnen zusammengestellt.
    • Bei Verkehr von nFz Fahrzeugeinheiten pro Stunde der Art Fz wird der Pegel der längenbezogenen Schallleistung im Oktavband ƒ und Höhenbereich h nach folgender Gleichung (Gl. 2) berechnet:


    • 3.3
    • Schallleistungspegel für Rangier- und Umschlagbahnhöfe
    • Die Schallemission wird in acht Oktavbändern ƒ bei Mittenfrequenzen von 63 Hz bis 8 000 Hz als Schallleistungspegel für Abstrahlung in den Raumwinkel 4π angegeben. Es gilt das Raumwinkelmaß nach der Gleichung (Gl. 9). Zu unterscheiden sind Schallquellen nach Tabelle 10. Die Quellen sind punktförmig oder linienförmig ausgeformt.
    • Der Pegel der A-bewerteten Schallleistung von Punktschallquellen LW,ƒ,h,i im Oktavband ƒ, im Höhenbereich h, infolge einer Einzelquelle i wird abhängig von der Anzahl ni der Ereignisse bzw. Einheiten pro Stunde nach folgender Gleichung (Gl. 3) berechnet:


    • Der Pegel der A-bewerteten längenbezogenen Schallleistung von Linienschallquellen LW'A,ƒ,h,j im Oktavband ƒ, im Höhenbereich h, infolge einer Einzelquelle j wird abhängig von der Anzahl nj der Ereignisse bzw. Einheiten pro Stunde nach folgender Gleichung (Gl. 4) berechnet:


    • Dabei bezeichnet:
      LWA,h,i , LW'A,h,jA-bewerteter Gesamtpegel der Schallleistung bzw. der längenbezogenen Schallleistung der Einzelquelle i bzw. j nach Beiblatt 3, in dB,
      ΔLW,ƒ,h,i, ΔLW',ƒ,h,jPegeldifferenz im Oktavband ƒ nach Beiblatt 3, in dB,
      ni,njAnzahl der Ereignisse bzw. Einheiten pro Stunde,
      KkPegelkorrektur für die Auffälligkeit der Geräusche nach Tabelle 9 und Tabelle 11, in dB.
    • Anmerkung: Im Beiblatt 3 sind die Indizes h, i und j nicht mitgeführt.
    • Teilflächen von Rangier- und Umschlagbahnhöfen mit gleichmäßiger Schallemission können zu Flächenschallquellen zusammengefasst werden. Die Emission der Flächenschallquelle, zusammengefasst aus Punkt- und Linienschallquellen, wird durch deren A-bewerteten Schallleistungspegel LW”A,ƒ,h im Oktavband ƒ und Höhenbereich h nach folgender Gleichung (Gl. 5) angegeben:


    • Dabei bezeichnet:
      SFTeilfläche mit gleichmäßiger Schallemission, in m2,
      S0 = 1 m2Bezugsfläche,
      ljLänge der Linienquelle j, in m,
      l0 = 1 mBezugslänge,
      qi,hAnzahl der Punktschallquellen der Art i im Höhenbereich h,
      qj,hAnzahl der Linienschallquellen der Art j im Höhenbereich h.
    • Fahrbewegungen von ein-, aus- und vorbeifahrenden Zügen sowie von Rangierfahrten werden nach Nummer 3.2 berücksichtigt.
    • 3.4
    • Bildung von Punktschallquellen durch Teilstückzerlegung
    • Der Berechnung der Beurteilungspegel liegen Punktschallquellen zugrunde. Dazu werden alle linien- und flächenförmigen Quellen in Punktschallquellen zerlegt (siehe Bild 1). Eine ausgedehnte Quelle, für die von allen Teilen bis zu einem Immissionsort gleichmäßige Schallausbreitungsbedingungen herrschen, wird als Punktschallquelle modelliert. Darüber hinaus ist die Länge der Teilstücke lks bzw. die Größe der Teilfläche SkF durch weitere Zerlegung so zu begrenzen, dass bei Halbierung aller Teilstücke bzw. Teilflächen der Immissionsanteil nach der Gleichung (Gl. 29) für alle Beiträge am jeweiligen Immissionsort sich um weniger als 0,1 dB verändert.








    • Bild 1: Beispiele für die Zerlegung von Linien- und Flächenschallquellen in Teilstücke und Teilflächen
    • Anmerkung 1: In Rangierbahnhöfen werden z. B. Gleisbremsen als Punktschallquellen betrachtet.
    • Anmerkung 2: Die Forderung nach gleichmäßigen Ausbreitungsbedingungen an jedem betrachteten Punkt eines Teilstückes zum Immissionsort wird durch den Schwellenwert von 0,1 dB präzisiert. Sie schließt Anforderungen an Abstände, Schallstrahlhöhe über dem Boden, Abschirmungen und Reflexionen ein. Als Richtwert für eine geeignete Länge lks bei freier Schallausbreitung über ebenem Boden dient die Hälfte der Weglänge dkS von der Mitte des Teilstückes bis zum Immissionsort. Als Richtwert für eine geeignete Teilflächengröße SkF bei freier Schallausbreitung über ebenem Boden dient ein Viertel des Quadrats der Weglänge dkF von der Mitte der Teilfläche bis zum Immissionsort.
    • Aus der Länge lkS eines Teilstückes ks und aus A-bewerteten Pegeln der längenbezogenen Oktav-Schallleistung LW'A,ƒ,h nach der Gleichung (Gl. 5) in den nach dieser Anlage festgelegten Höhenbereichen h (siehe Tabelle 5 bzw. Tabelle 10) in diesem Abschnitt werden die A-bewerteten Schallleistungspegel LWA,ƒ,h,kS im Oktavband ƒ nach folgender Gleichung (Gl. 6) berechnet:


    • mit   l0 = 1 m.
    • Oktav-Schallleistungspegel nach der Gleichung (Gl. 6) beschreiben zusammen mit dem Richtwirkungsmaß nach der Gleichung (Gl. 8) und dem Raumwinkelmaß nach der Gleichung (Gl. 9) die Schallemission, mit der von einer Punktschallquelle in der Mitte eines Teilstückes ks in der Höhe hs über der Schienenoberkante zu rechnen ist.
    • Mit der Fläche SkF einer Teilfläche und aus den Pegeln LW"A,ƒ,h der flächenbezogenen Schallleistung nach der Gleichung (Gl. 5) in den nach Tabelle 10 festgelegten Höhenbereichen h werden die Schallleistungspegel LWA,ƒ,h,kF nach der folgenden Gleichung (Gl. 7) berechnet:


    • mit   S0 = 1 m2.
    • Der Oktav-Schallleistungspegel nach der Gleichung (Gl. 7) beschreibt zusammen mit dem Raumwinkelmaß nach der Gleichung (Gl. 9) die ungerichtete Schallemission einer Punktschallquelle in der Mitte einer Teilfläche kF in der Höhe hs über der Schienen- bzw. der Fahrbahnoberkante.
    • 3.5
    • Richtwirkung und Raumwinkelmaß
        3.5.1
      • Richtwirkung
      • Das Richtwirkungsmaß DI,kS wird nach folgender Gleichung (Gl. 8) für Teilstücke von Streckenabschnitten berechnet:


      • Dabei bezeichnet δkS den Winkel zwischen einem Schallstrahl, der von der Punktschallquelle ausgeht, und der Gleisachse (siehe Bild 2):




      • Bild 2: Definition des Winkels δkS an einer Bahnstrecke
      • Anmerkung: Das Richtwirkungsmaß ist grafisch in Bild 3 dargestellt:




      • Bild 3: Richtwirkungsmaß DI,kS in dB nach Gleichung (Gl. 8) für δkS in Grad
      • Anmerkung 1: Das Richtwirkungsmaß kennzeichnet die mittlere Abstrahlung des Rollgeräusches bei Zugfahrten in beiden Richtungen.
      • Anmerkung 2: Der Winkel δkS kann aus geometrischen Beschreibungen der Gleisachse und des Immissionsorts ermittelt werden.
      • Für Quellen in Rangier- und Umschlagbahnhöfen wird nach dieser Rechenvorschrift keine Richtwirkung berücksichtigt.
      • 3.5.2
      • Raumwinkelmaß
      • Die Schallleistungspegel aller Quellen dieser Anlage geben die Abstrahlung in den Raumwinkel 4π an. Dabei wird der scheinbare Anstieg des Schallleistungspegels der Schallquelle aufgrund von Reflexionen am Boden durch das Raumwinkelmaß nach folgender Gleichung (Gl. 9) berücksichtigt:


      • Dabei bezeichnet:
          hg
        • Höhe der Schallquelle über dem Boden, in m,
        • hr
        • Höhe des Immissionsorts über dem Boden, in m,
        • dp
        • horizontaler Abstand zwischen Schallquelle und Immissionsort, in m.
      • Anmerkung: Angaben zur Schallquellenhöhe nach den Tabellen 5, 10 und 13 beziehen sich auf die Fahrbahnoberkante. Entsprechend ist zu der angegebenen Schallquellenhöhe die Höhe der Fahrbahnoberkante über dem Boden hinzuzufügen.
  • 4.
  • Schallemissionen von Eisenbahnen
      4.1
    • Fahrzeugarten
    • Zur Berechnung der Schallemission werden Fahrzeugkategorien Fz nach Tabelle 3 unterschieden:
    • Tabelle 3: Fahrzeugarten, Fz-Kategorien und Bezugsanzahl der Achsen für Eisenbahnen

      SpalteABC
      ZeileFahrzeugartFahrzeug-Kategorie FzBezugsanzahl
      der Achsen
      nAchs,0
       1HGV-Triebkopf14
       2HGV-Mittel-/Steuerwagen, nicht angetrieben24
       3HGV-Triebzug332
       4HGV-Neigezug428
       5E-Triebzug und S-Bahn (ET)510
       6V-Triebzug (VT)66
       7Elektrolok (E-Lok)74
       8Diesellok (V-Lok)84
       9Reisezugwagen94
      10Güterwagen104
    • Festlegung zu Tabelle 3, Spalte C:
    • Die Schallleistung des Rollgeräusches nimmt mit der Anzahl der Achsen zu. Bei Abweichung der Anzahl der Achsen nAchs einer Fahrzeugeinheit von der Bezugsanzahl der Achsen nAchs,0 wird eine Korrektur in der Gleichung (Gl. 1) mit nQ = nachs vorgenommen. Diese Korrektur wird nur für die Schallquellenart Rollgeräusche nach Tabelle 5 angesetzt. Bei allen anderen Schallquellenarten gilt nQ = nQ,0. Der A-bewertete Gesamtpegel ɑA,h,m,Fz der längenbezogenen Schallleistung und die Pegeldifferenz Δɑƒ,h,m,Fz im Oktavband ƒ bei der Bezugsgeschwindigkeit v0 = 100 km/h auf Schwellengleis mit durchschnittlichem Fahrflächenzustand sind für jede Fahrzeugart in Beiblatt 1 zusammengestellt (siehe auch die Gleichung Gl. 1). Die Zusammensetzung und die Anzahl von Fahrzeugeinheiten von Zügen können, sofern diese für die Berechnung nicht vorgegeben werden, der Tabelle 4 entnommen werden.
    • Tabelle 4: Verkehrsdaten für Eisenbahnen

      SpalteABCDEFGHIJKL
      ZeileZugartHöchstgeschwindigkeit
      im Regelverkehr
      in km/h
      Anzahl der Fahrzeugeinheiten je Fz-Kategorie
      12345678910
       1ICE-1-Zug250212
       2ICE-2-Halbzug25017
       3ICE-2-Vollzug250214
       4ICE-3-Halbzug3001
       5ICE-3-Vollzug3002
       6ICE-T2301
       7Thalys-PBKA-Halbzug30025
       8Thalys-PBKA-Vollzug300410
       9ETR 470 Cisalpino2001
      10IC-Zug (bespannt mit
      E-Lok)
      200112
      11IC-Zug (bespannt mit
      V-Lok)
      160112
      12Nahverkehrszug
      (bespannt mit E-Lok)
      16015
      13Nahverkehrszug
      (bespannt mit V-Lok)
      14015
      14Nahverkehrszug (ET)1401
      15Nahverkehrszug (VT)1201
      16IC31801
      17S-Bahn1201
      18Güterzug (bespannt mit
      E-Lok)
      100124
      19Güterzug (bespannt mit
      V-Lok)
      100124


    • Anmerkungen zu Tabelle 4:
    • Zeile 6: Die 7-teilige Version (BR 411) und die 5-teilige Version (BR 415) des ICE-T werden schalltechnisch nicht unterschieden.
    • Zeilen 10 und 11: Radsätze der Wagen mit Wellenscheibenbremsen.
    • Zeilen 14 und 17: Detaillierung nach Baureihen siehe Datenblatt der Fahrzeug-Kategorie 5.
    • Zeile 15: Detaillierung nach Baureihen siehe Datenblatt der Fahrzeug-Kategorie 6.
    • Zeile 16: Zu behandeln wie BR 612 im Datenblatt der Fahrzeug-Kategorie 6.
    • Bei Güterzügen kann damit gerechnet werden, dass bis zum Jahr 2020 80 Prozent und bis zum Jahr 2030 100 Prozent der Güterwagen mit Verbundstoff-Klotzbremsen ausgestattet sind. Dies betrifft Güterwagen gemäß den Zeilen 5 bis 7 sowie 18 bis 20 von Beiblatt 1, Fahrzeug-Kategorie 10.
    • 4.2
    • Schallquellenarten
    • Zur Berechnung der Schallemission werden die in Tabelle 5 aufgeführten vier Schallquellenarten in den zugehörigen Höhenbereichen berücksichtigt.
    • Tabelle 5: Schallquellenarten an Fahrzeugen für Eisenbahnen

      SpalteABCDE
      ZeileSchallquellenartHöhenbereich hHöhe hs über SOTeilquellen mGeräuschursache,
      Komponente
       1Rollgeräusche10 m1Schienenrauheit
       210 m2Radrauheit
       324 m3Abstrahlung des als Körperschall übertragenen Rollgeräusches aufgrund der Schienenrauheit durch Kesselwagenaufbauten
       424 m4Abstrahlung des als Körperschall übertragenen Rollgeräusches aufgrund der Radrauheit durch Kesselwagenaufbauten
       5Aerodynamische Geräusche35 m5Stromabnehmerwippe
       624 m6Stromabnehmerfuß, Gitter von Kühl- und Klimaanlagen im Dachbereich
       710 m7Umströmung der Drehgestelle
       8Aggregatgeräusche24 m8Ventilatoren von Kühl- und Klimaanlagen, Saugseite im Dachbereich
       910 m9Ventilatoren von Kühl- und Klimaanlagen, Saug- und Druckseite im Unterflurbereich
      10Antriebsgeräusche24 m10Abgasanlage
      1110 m11Motor, Getriebe
    • Festlegungen zu Tabelle 5:
    • Zeilen 1 und 2: Bei Gefällestrecken mit einer Neigung 20 und einer Länge 500 m ist für Güterzüge mit Graugussklotzbremsen auf dem talwärts befahrenen Gleis ein Zuschlag von 3 dB auf das Rollgeräusch in der Höhe hs = 0 m aufgrund von Bremsgeräuschen zu berücksichtigen.
    • Zeilen 3 und 4: Bei Kesselwagen wirken sich die Rauheiten der Rollgeräusche durch Schallabstrahlung der Aufbauten auch in der Höhe hs = 4 m aus. Die entsprechende Teilquelle wird nur für Kesselwagen angewendet. Sofern nicht genauer bekannt, wird ein Anteil von 20 Prozent Kesselwagen für jeden Güterzug angenommen.
    • 4.3
    • Geschwindigkeit
    • Die in Beiblatt 1 aufgeführten A-bewerteten Gesamtpegel der längenbezogenen Schallleistung gelten für die Bezugsgeschwindigkeit v0 = 100 km/h. Der Einfluss davon abweichender Geschwindigkeiten wird in der Gleichung (Gl. 1) mit dem Geschwindigkeitsfaktor b nach Tabelle 6 berücksichtigt.
    • Tabelle 6: Geschwindigkeitsfaktor b für Eisenbahnen

      SpalteABC
      ZeileSchallquellenartTeil-
      quellen m
      Geschwindigkeitsfaktor b in der
      Oktavband-Mittenfrequenz, in Hz
      1631252505001 0002 0004 0008 000
      2Rollgeräusche1, 2, 3, 4–5–5–5010252525
      3Aerodynamische Geräusche5, 6, 7 50
      4Aggregatgeräusche8, 9–10
      5Antriebsgeräusche10, 11 20
    • Die Geschwindigkeit vFz wird wie folgt ermittelt:
    • Ausgangspunkt ist die zulässige fahrzeugbedingte Höchstgeschwindigkeit im Regelverkehr. Haben mehrere Fahrzeuge eines Zuges unterschiedliche Höchstgeschwindigkeiten, ist die Höchstgeschwindigkeit des langsamsten Fahrzeugs für alle Fahrzeuge zu verwenden. Ist die zulässige Streckengeschwindigkeit geringer, ist diese anzusetzen.
    • Im Bereich von Personenbahnhöfen (innerhalb der Einfahrsignale) und von Haltepunkten bzw. Haltestellen (Bahnsteiglänge zuzüglich auf jeder Seite 100 m) ist die zulässige Geschwindigkeit der freien Strecke, mindestens aber 70 km/h anzusetzen. Mit vFz = 70 km/h werden die in Bahnhöfen und an Haltepunkten bzw. in Haltestellenbereichen anfallenden Geräusche, die z. B. durch das Türenschließen oder beim Überfahren von Weichen und/oder beim Bremsen und Anfahren entstehen, berücksichtigt.
    • Anmerkung: Eine Zusammenstellung von Höchstgeschwindigkeiten für verschiedene Zugarten kann Tabelle 4 entnommen werden.
    • 4.4
    • Fahrbahnarten, Bahnübergänge
    • Die in Beiblatt 1 aufgeführten akustischen Kenndaten gelten für Schwellengleise (siehe Nummer 2.1.8). Für andere Fahrbahnarten sind nach der Gleichung (Gl. 1) Pegelkorrekturen nach Tabelle 7 vorzunehmen.
    • Tabelle 7: Pegelkorrekturen c1 für Fahrbahnarten

      SpalteABC
      ZeileEinflussgrößePegelkorrekturen c1 in dB
      für Oktavband-Mittenfrequenz, in Hz
      631252505001 0002 0004 0008 000
      1Feste FahrbahnErhöhte Schienenabstrahlung00073000
      2Reflexion an der Fahrbahn11111111
      3Feste Fahrbahn
      mit Absorber
      Erhöhte Schienenabstrahlung00073000
      4Reflexion an der Fahrbahn000–2–2–300
      5BahnübergangErhöhte Schienenrauheit00084000
      6Reflexion an der Fahrbahn11111111
    • Festlegungen zu Tabelle 7:
    • Zeilen 1 und 3: Pegelkorrektur für die erhöhte Schallabstrahlung der Schiene aufgrund der bei festen Fahrbahnen erforderlichen elastischen Schienenbefestigung; die Korrektur ist auf das Rollgeräusch infolge Schienenrauheit und Radrauheit (Teilquellen 1 und 2) anzuwenden. Bei allen anderen Teilquellen m gilt c1 = 0 dB.
    • Zeilen 2, 4 und 6: Pegelkorrektur für die veränderte Schallabstrahlung aufgrund der veränderten Reflexionen gegenüber dem Schotterbett; die Korrektur ist auf alle Teilquellen auf Höhe der Schiene (Teilquellen 1, 2, 7, 9 und 11) anzuwenden. Bei allen anderen Teilquellen m gilt c1 = 0 dB.
    • Zeilen 3 und 4: Absorber sind als Schallschutzmaßnahme einzustufen.
    • Zeile 5: Pegelkorrektur für die Schallabstrahlung der Schiene aufgrund der erhöhten Fahrbahnrauheit. Die Korrektur ist auf das Rollgeräusch aufgrund der Schienenrauheit und der Radrauheit (Teilquellen 1 und 2) anzuwenden. Bei allen anderen Teilquellen m gilt c1 = 0 dB.
    • Zeilen 5 und 6: Die Pegelkorrektur für Bahnübergänge ist für Teilstücke, die der 2-fachen Straßenbreite entsprechen, anzusetzen. Pegelkorrekturen für andere Fahrbahnarten sind nicht zusätzlich zu berücksichtigen.
    • Anmerkung 1: Schwellengleise im Schotterbett schließen Betonschwellen, Holzschwellen und Stahlschwellen ein.
    • Anmerkung 2: Im Bereich von Weichen können in der Regel keine Absorber verlegt werden.
    • Anmerkung 3: Auf eine Pegelkorrektur für Bahnübergänge, die nur als Fuß- und Radwege dienen, kann nach Zeile 5 vollständig, nach Zeile 6 bei einer Wegbreite des befestigten Bahnüberganges von 7 m verzichtet werden.
    • 4.5
    • Schallminderungstechniken am Gleis
    • Die in Beiblatt 1 aufgeführten akustischen Kenndaten gelten für einen durchschnittlichen Fahrflächenzustand und ohne besondere akustische Maßnahmen an der Schiene. Für den Fahrflächenzustand „besonders überwachtes Gleis (büG)“ und für Maßnahmen an den Schienenstegen sind nach der Gleichung (Gl. 1) Pegelkorrekturen nach Tabelle 8 vorzunehmen.
    • Tabelle 8: Pegelkorrekturen c2 für Fahrflächenzustand „besonders überwachtes Gleis (büG)“ sowie für Schienenstegdämpfer und -abschirmung

      SpalteABC
      ZeileMaßnahmeTeilquelle
      m
      Pegelkorrekturen c2 in dB in der
      Oktavband-Mittenfrequenz, in Hz
      631252505001 0002 0004 0008 000
      1besonders überwachtes Gleis (büG)1, 3000–4–5–5–40
      2Schienenstegdämpfer1, 3000–2–3–300
      32, 4000–1–3–200
      4Schienenstegabschirmung1000–3–4–500
    • Die Korrekturwerte c2 werden für das „büG“ auf die Teilquellen Rollgeräusch aufgrund der Schienenrauheit, Teilquellen 1 und 3, bei den Einflussgrößen Schienenstegdämpfer auf die Teilquellen 1 bis 4 und bei der Schienenstegabschirmung nur auf die Teilquelle 1 angesetzt. Bei allen anderen Teilquellen gilt c2 = 0 dB. Die Maßnahmen nach Tabelle 8 gelten als Schallschutzmaßnahme. Die eingesetzten Schienenstegdämpfer und -abschirmungen müssen die akustische Wirksamkeit nach Tabelle 8 aufweisen. Eine Addition der Korrekturwerte c2 aus den Zeilen 1 und 2 sowie den Zeilen 1 und 4 ist möglich.
    • Anmerkung 1: Das „besonders überwachte Gleis (büG)“ ist eine Schallschutzmaßnahme mit einer besonderen Form der Überwachung und Pflege der Schienenfahrflächen. Sie beruht auf der Erkenntnis, dass neben dem fahrzeugartabhängigen Zustand der Radlaufflächen vor allem der Fahrflächenzustand der Schienen eine entscheidende Rolle bei der Entstehung des Rollgeräusches spielt. Beim Einsatz dieser Maßnahme werden bestimmte Gleisabschnitte in regelmäßigen Abständen auf ihren akustischen Zustand hin überprüft und im Bedarfsfall mit einem besonderen Schleifverfahren geschliffen (akustisches Schleifen). Die Maßnahme zielt darauf ab, dass auf solchen Gleisabschnitten stets ein überdurchschnittlich guter, d. h. glatter Fahrflächenzustand der Schienen vorhanden ist und das Rollgeräusch entsprechend gering auftritt.
    • Anmerkung 2: Schienenstegdämpfer ist eine Dämpfungsmaßnahme, Schienenstegabschirmung ist eine Abschirmmaßnahme für Schienenfuß und Schienensteg; beide Technologien sind Schallschutzmaßnahmen.
    • Die Maßnahme „büG“ ist mit folgenden Festlegungen verbunden:
      • Vor der Inbetriebnahme von Streckenabschnitten mit der Maßnahme „büG“ und nach jedem akustischen Schleifen gilt das Gleis als abgenommen, wenn es mit den für das büG-Schleifen anerkannten Verfahren Verfügung Pr.1110 Rap/Rau 98 vom 16.3.1998 (VkBl. 1998, Heft 7, S. 262, lfd. Nr. 74) bearbeitet wurde.
      • Die schalltechnische Überwachung des „büG“ erfolgt durch eine Befahrung mit dem Schallmesswagen (SMW). Die erste Befahrung ist spätestens zwölf Monate nach der Inbetriebnahme des Streckenabschnittes mit der Maßnahme „büG“ durchzuführen. Jede weitere Befahrung mit dem SMW findet spätestens zwölf Monate nach der vorigen Befahrung statt.
      • Zeigt der SMW für einen Gleisabschnitt einen Messwert von +2 dB (Auslöseschwelle) oder mehr an, so wird dieser Gleisabschnitt innerhalb der nächsten zwölf Monate nach der Befahrung akustisch geschliffen. Ein akustisches Schleifen ist nicht erforderlich, wenn der Gleisabschnitt nicht länger als 50 m ist und auf den an einer Seite oder an beiden Seiten anschließenden Gleisabschnitten von mindestens 200 m Länge die Auslöseschwelle nicht überschritten oder dort die Maßnahme „büG“ nicht durchgeführt wird.
      • Das akustische Schleifen kann entfallen, wenn durch geeignete Schleifverfahren wie z. B. das Hochgeschwindigkeitsschleifen nachgewiesen wird, dass der durch den SMW angezeigte Messwert kleiner als +1 dB ist.
    • Gemäß § 5 Absatz 3 Satz 2 sind weitergehende Festlegungen der zuständigen Behörde zu beachten.
    • 4.6
    • Brücken
    • Bei der Überfahrt eines Zuges über eine Brücke ist die Schallemission des Brückenüberbaus durch eine Korrektur, die auch die Belästigung aufgrund tieffrequenter Geräuschanteile enthält, zu berücksichtigen. Sie wird als kombinierte Brücken- und Fahrbahnkorrektur KBr dargestellt, da sie neben der Schallemission der Brücke auch den Einfluss der Fahrbahn auf der Brücke enthält. Maßnahmen, die zu einer Minderung der Schallemission einer Brücke führen, werden durch eine Korrektur KLM berücksichtigt und sind als Schallschutzmaßnahme anzusetzen. Für die gebräuchlichsten fünf Brücken- und Oberbautypen sind in Tabelle 9 Pegelkorrekturen angegeben. Die Korrektur erfolgt für die lichte Weite der Brücke zuzüglich auf jeder Seite 2 m. Die Pegelkorrekturen gelten für die Teilquellen 1 und 2. Für alle anderen Teilquellen ist KBr + KLM = 0 dB anzusetzen. Korrekturen für Fahrbahnarten nach Tabelle 7 Zeile 1 bis 4 sind nicht anzusetzen.
    • Tabelle 9: Korrekturen KBr und KLM für Brücken

      SpalteABC
      ZeileBrücken- und FahrbahnartKBr
      in dB
      KLM
      in dB
      1Brücken mit stählernem Überbau, Gleise direkt aufgelagert12–6
      2Brücken mit stählernem Überbau und Schwellengleis im Schotterbett6–3
      3Brücken mit massiver Fahrbahnplatte oder mit besonderem stählernen Überbau und Schwellengleis im Schotterbett3–3
      4Brücken mit fester Fahrbahn4


    • Festlegungen zu Tabelle 9:
    • Zeile 1: Schienen sind direkt oder über Holzschwellen auf der Brückenkonstruktion befestigt. Die Abschläge für Schallminderungsmaßnahmen nach Spalte C sind anzusetzen, wenn zur Minderung der Schallemission der Brücke hochelastische Schienenbefestigungen mit den für die vorliegenden Bedingungen geringsten zugelassenen Werten für die Stützpunktsteifigkeit verwendet werden.
    • Zeile 4: Ist eine Beeinträchtigung durch Schallemissionen nach unten zu erwarten, muss die Beeinträchtigung durch eine geeignete Maßnahme, z. B. eine elastische Matte zwischen Fahrbahn und Überbau, gemindert werden. Im Zweifelsfall ist die Maßnahme durch eine schalltechnische Stellungnahme abzuklären.
    • Spalte C: Die Pegelkorrekturen für Schallminderungsmaßnahmen an Brücken mit Schotterbett (Zeilen 2 und 3) sind anzusetzen, wenn zur Minderung der Schallemissionen der Brücke Unterschottermatten mit den für die vorliegenden Bedingungen geringsten zugelassenen Werten für den Bettungsmodul verwendet werden.
    • Anmerkung zu Tabelle 9 Zeile 3:
    • Fahrbahnplatte aus Stahlbeton, Spannbeton, Walzträger in Beton, Doppelverbundträger oder Gewölbebrücke; auch Verbundbrücke aus massiver Betonfahrbahnplatte und stählernen Brückenteilen. Der besondere stählerne Überbau unterscheidet sich von den unter Zeile 2 beschriebenen Brücken durch konstruktive Maßnahmen zur Verhinderung von Resonanzen.
    • Befindet sich eine Schallschutzwand auf einer Brücke nach Tabelle 9 Zeile 1 bis 3, sind Schallminderungsmaßnahmen mit einer Mindestwirksamkeit nach Tabelle 9 Spalte C vorzusehen und in der Berechnung zu berücksichtigen.
    • 4.7
    • Schallemission von Bauwerken
    • Im Bereich von Tunnelöffnungen und Bahnhofshallen sind die dort austretenden Schallemissionen zu berücksichtigen. Dabei ist von den in den Nummern 4.1 bis 4.6 festgelegten Schallleistungen auszugehen. Die Absorptions- und Transmissionseigenschaften der Bauwerke sind nach den anerkannten Regeln der Technik anzusetzen.
    • Anmerkung 1: Anerkannte Regel der Technik ist die DIN EN 12354-4 Bauakustik – Berechnung der akustischen Eigenschaften von Gebäuden aus den Bauteileigenschaften, Teil 4: Schallübertragung von Räumen ins Freie, Ausgabe April 2001.
    • Anmerkung 2: Die beim Hochgeschwindigkeitsverkehr ggf. an Tunnelportalen auftretenden Mikrodruckwellen („Tunnelknall“) werden von dieser Richtlinie nicht erfasst und sind außerhalb dieser Verordnung gesondert zu betrachten.
    • 4.8
    • Rangier- und Umschlagbahnhöfe
    • Zur Berechnung der Schallemissionen von Rangier- und Umschlagbahnhöfen werden die in Tabelle 10 aufgeführten Schallquellen berücksichtigt.
    • Tabelle 10: Schallquellen in Rangier- und Umschlagbahnhöfen

      SpalteABCDE
      ZeileAnlagenteilSchallquellenartHöhenbereich hHöhe
      hs über
      SO/FO
      Geräuschursache
       1Rangier- und Umschlagbahnhöfe
       2Einfahr-, Richtungs-, Nachordnungs- und Ausfahrgruppe in Rangier- und Umschlagbahnhöfen sowie in AutoreisezuganlagenRollgeräusche von Lok und Güterwagen, Aggregate und Antriebsgeräusch
      der Lok
      10 mRauheit der Schienen und Radlaufflächen, Ventilatoren, Motor,
      Getriebe
       3Antriebsgeräusche
      der Rangierlok
      24 mAbgasanlage
       4Kurvenfahrgeräusch10 mStick-slip, Anlaufen der Radspurkränze am Schienenkopf
       5EinfahrgruppeAbdrückgeräusch von Güterwagen über den Ablaufberg24 mAggregate und Antrieb der abdrückenden Lok
       6Richtungs- und NachordnungsgruppeGleisbremsengeräusch10 mReibung der Radflanken an Bremsbalken
       7Retardergeräusch
      (Klingelgeräusch)
      10 mEindrücken von Stoßdämpfern
       8Hemmschuhauflaufgeräusch10 mReibung des Radsatzes auf Metall
       9Auflaufstoßgeräusch61,5 mPufferstoß
      10Richtungs- und AusfahrgruppeGeräusch beim Anreißen und Abbremsen von lose gekuppelten Wagen61,5 mruckartiges Beschleunigen und Abbremsen von lose gekuppelten Güterwagen
    • Festlegungen zu Tabelle 10:
    • Zeilen 2 bis 4: Rollgeräusche von Lok und Güterwagen sowie Aggregat- und Antriebsgeräusche der Lok (Höhenbereich 1 und 2) sind in allen Teilen der Rangier- und Umschlagbahnhöfe mit 70 km/h anhand von Beiblatt 1 zu ermitteln. Jede Fahrbewegung ist als ein Ereignis zu werten. Nicht zu berücksichtigen sind Rollgeräusche der abzudrückenden Güterwagen und der abdrückenden Loks sowie die Rollgeräusche der vom Ablaufberg in Richtungs- oder Nachordnungsgruppen ablaufenden Güterwagen.
    • Zeile 4: Kurvenfahrgeräusche sind in allen Teilen der Rangier- und Umschlagbahnhöfe zu ermitteln, wobei jedes Fahrzeug (Lok, Güterwagen) als jeweils ein Ereignis auf der gesamten Länge jedes Gleisbogens mit r 300 m betrachtet werden muss.
    • Zeile 5: Die Zahl der Schallereignisse richtet sich nach der Anzahl der Vorgänge des Abdrückens durch die abdrückende Rangierlok. Die Berechnung der Geräusche der abdrückenden Lok erfolgt nach Beiblatt 1, Fz-Kategorie 7 oder 8.
    • Zeilen 6 und 7: Jede Fahrt eines Güterwagens durch eine Gleisbremse oder über Retarder ist als ein Schallereignis zu werten. In Beharrungsstrecken sind auch die Lokfahrten als Schallereignisse zu ermitteln, wenn die Retarder dafür nicht weggeklappt werden können.
    • Zeilen 8 und 9: Jeder Güterwagenablauf verursacht je ein Hemmschuhauflaufgeräusch. In den schalltechnischen Ermittlungen ist anzunehmen, dass 15 Prozent aller Schallereignisse im ersten, 25 Prozent im zweiten und 60 Prozent im letzten Drittel der Gleisharfen der Richtungs- oder Nachordnungsgruppen entstehen. Geräusche der Hemmschuhauswurfeinrichtungen sind in den Schallleistungspegeln für Hemmschuhauflaufgeräusche (Beiblatt 3) bereits enthalten. Für Pufferstöße gelten die Sätze 1 und 2 zu den Zeilen 8 und 9 sinngemäß.
    • Zeile 10: Die Anzahl der Schallereignisse ist abhängig von der Anzahl der angerissenen und abgebremsten, lose gekuppelten Wagengruppen. Fest miteinander gekuppelte Güterwagen bleiben unberücksichtigt.
    • Angaben zum A-bewerteten Gesamtpegel der Schallleistung und zur Verteilung in Oktavbändern enthält Beiblatt 3.
    • 4.9
    • Auffälligkeit von Eisenbahngeräuschen
    • Ton-, impuls- oder informationshaltige Geräusche von Teilstrecken oder Teilflächen werden mit einem frequenzunabhängigen Zuschlag KL zum Schallleistungspegel nach Tabelle 11 auf die Teilquellen 1 und 2 nach Beiblatt 1 berücksichtigt. Falls dauerhaft wirksame Vorkehrungen gegen das Auftreten von Quietschgeräuschen getroffen werden, ist eine zusätzliche Pegelkorrektur KLA vorzunehmen.


    • Tabelle 11: Pegelkorrekturen KL für die Auffälligkeit von Geräuschen

      SpalteABCDE
      ZeileSchallquellenartGeräuschquelleKL
      dB
      KLA
      dB
      Bemerkung
       1Kurvenfahrgeräusch bei EisenbahnstreckenKurvenradius < 300 m8–3
       2Kurvenradius von 300 m bis < 500 m3–3
       3Kurvenradius 500 m0
       4Kurvenfahrgeräusch
      in Rangier- und Umschlagbahnhöfen
      alle Radien 300 m6–3
       5GleisbremsengeräuschZulaufbremse6–3
       6Talbremse TW ohne oder mit Segmenten, Richtungsgleisbremse TWE einseitig mit Segmenten, Talbremse FEW Leipzig6–3
       7Talbremse TW beidseitig mit GG-Segmenten, TW schalloptimiert3
       8Schraubenbremse3
       9Retarder3gilt auch für Rangierfahrten über Retarderstrecken
      10Sonstige GeräuscheHemmschuhaufläufe6Geräusche treten nur
      in Rangierbahnhöfen ohne moderne Rangiertechnik auf
      11Auflaufstöße3in Rangierbahnhöfen mit moderner Technik
      126in Rangierbahnhöfen mit älterer Technik
      13Anreißen und Abbremsen von lose gekuppelten Güterwagen6Geräusche vermeidbar durch festes Kuppeln der Wagen untereinander
    • Festlegungen zu Tabelle 11, Spalte D:
    • Die Pegelkorrekturen für Schallminderungsmaßnahmen zur Vermeidung auffälliger Geräusche KLA im Bereich enger Kurvenradien und Bremsanlagen in Rangierbahnhöfen sind anzusetzen, wenn zur Minderung der Schallemissionen Reibmodifikatoren angewendet werden, die das Auftreten von Quietschgeräuschen dauerhaft verhindern.
  • 5.
  • Schallemissionen von Straßenbahnen
      5.1
    • Fahrzeugarten
    • Zur Berechnung der Schallemission wird von Fahrzeugarten nach Tabelle 12 ausgegangen.
    • Tabelle 12: Fahrzeugarten, Fahrzeug-Kategorien Fz und Bezugsanzahl der Achsen für Straßenbahnen

      SpalteABC
      ZeileFahrzeugartFahrzeug-Kategorie
      Fz
      Bezugsanzahl
      der Achsen
      nAchs,0
      1Straßenbahn-Niederflurfahrzeuge218
      2Straßenbahn-Hochflurfahrzeuge22
      3U-Bahn-Fahrzeuge23
    • Festlegung zu Tabelle 12 Spalte C:
    • Die Schallleistung des Rollgeräusches nimmt mit der Anzahl der Achsen zu. Bei Abweichung der Anzahl der Achsen nAchs einer Fahrzeugeinheit von der Bezugsanzahl der Achsen nAchs,0 = 8 wird der dritte Term in der Gleichung (Gl. 1) mit nQ = nAchs und nQ,0 = nAchs,0 berücksichtigt. Dieser Term wird für die Schallquellenart Fahrgeräusche nach Tabelle 13 angesetzt. Bei allen anderen Schallquellen nQ = nQ,0. Der A-bewertete Gesamtpegel ɑA,h,m,Fz der längenbezogenen Schallleistung und die Pegeldifferenz Δɑƒ,h,m,Fz im Oktavband ƒ bei der Bezugsgeschwindigkeit v0 = 100 km/h auf Schwellengleis mit durchschnittlichem Fahrflächenzustand sind für jede Fahrzeug-Kategorie im Beiblatt 2 zusammengestellt (siehe auch Gl. 1). Die Anzahl von Fahrzeugeinheiten je Stunde und die Zusammensetzung von Straßenbahnen sind den Unterlagen der Verkehrsunternehmen zu entnehmen.
    • Anmerkungen zu Tabelle 12:
    • Zeile 1: Die Quellen der Aggregatgeräusche liegen überwiegend auf dem Dach.
    • Zeilen 2 und 3: Die Quellen der Aggregatgeräusche liegen überwiegend unter dem Fahrzeugboden.
    • 5.2
    • Schallquellenarten
    • Bei der Berechnung der Schallemission sind die in Tabelle 13 aufgeführten Schallquellenarten und Höhenbereiche anzusetzen.
    • Tabelle 13: Schallquellenarten bei Straßenbahnen

      SpalteABCDEF
      ZeileSchallquellenartHöhenbereich
      h
      Höhe
      über SO
      hS
      Teilquelle
      m
      Geräuschursache, KomponenteFahrzeug-Kategorie
      Fz
      1Fahrgeräusche10 m1Schienenrauheit21, 22, 23
      210 m2Radrauheit, Motor, Getriebe
      3Aggregatgeräusche10 m3Stromrichter, Kompressor,
      Klima- bzw. Lüftungsaggregate
      22, 23
      424 m4Stromrichter, Kompressor,
      Klima- bzw. Lüftungsaggregate
      21
    • 5.3
    • Geschwindigkeit
        5.3.1
      • Bezugsgeschwindigkeit
      • Die in Beiblatt 2 aufgeführten Gesamtpegel der längenbezogenen Schallleistung gelten für die Bezugsgeschwindigkeit v0 = 100 km/h. Der Einfluss davon abweichender Geschwindigkeiten wird in der Gleichung (Gl. 1) durch den Geschwindigkeitsfaktor b nach Tabelle 14 berücksichtigt.
      • Tabelle 14: Geschwindigkeitsfaktor für Straßenbahnen

        SpalteABC
        ZeileSchallquellenartTeilquelle
        m
        Geschwindigkeitsfaktor b
        für Oktavband-Mittenfrequenz, in Hz
        631252505001 0002 0004 0008 000
        1Fahrgeräusch von Niederflur- und Hochflurfahrzeugen1, 200–5520151520
        2Fahrgeräusch von
        U-Bahn-Fahrzeugen
        1,21510202030252520
        3Aggregatgeräusche3, 4–10
      • Festlegung zu Tabelle 14, Zeile 3:
      • Hochflurfahrzeuge haben teilweise auch Aggregate (z. B. Klimaanlage für den Fahrgastraum) auf dem Dach. Sofern für solche Fahrzeuge ein spezielles Datenblatt vorhanden ist, bildet dieses die Berechnungsgrundlage.
      • Anmerkung zu Tabelle 14, Zeile 1 und 2:
      • Die Geschwindigkeitsfaktoren sind bauartbedingt. Große Geschwindigkeitsfaktoren b bewirken gegenüber der Bezugsgeschwindigkeit von 100 km/h hohe Abschläge für bauartbedingt langsame Fahrzeuge.
      • 5.3.2
      • Für die Berechnung anzusetzende Geschwindigkeit
      • Grundsätzlich wird auf allen Strecken mit der zulässigen Streckenhöchstgeschwindigkeit gerechnet. Ist die Fahrzeughöchstgeschwindigkeit niedriger als die Streckenhöchstgeschwindigkeit, ist die Fahrzeughöchstgeschwindigkeit anzusetzen. Ist die Streckenhöchstgeschwindigkeit geringer als 50 km/h, wird ersatzweise mit einer Geschwindigkeit von v = 50 km/h gerechnet. Es sind folgende Längen zu berücksichtigen:
        • Weichen: Weichenlänge plus je 25 m davor und dahinter,
        • Kreuzungen: Länge der Kreuzung plus je 25 m davor und dahinter,
        • Haltestellen an Strecken: Bahnsteiglänge plus je 25 m davor und dahinter.
      • Ausgenommen sind Strecken mit dauerhaft v 30 km/h (z. B. Langsamfahrstellen und Fußgängerbereiche), sofern es sich um Streckenabschnitte mit r> 200 m und Bereiche ohne Weichen, Haltestellen oder Kreuzungen handelt. In diesen Fällen wird mit einer Geschwindigkeit von v = 30 km/h gerechnet.
      • Anmerkung 1: Die erhöhten Schallemissionen an Gleisbögen mit kleinen Radien, Weichen und Kreuzungen, an Isolier- und Schweißstößen, an Beschleunigungs- und Bremsstrecken sowie an Haltestellen werden durch eine angenommene Geschwindigkeit berücksichtigt, die in diesen Bereichen höher ist als die tatsächlich gefahrene Geschwindigkeit. Hierdurch werden auch die für Haltestellen typischen Geräusche wie z. B. tonhaltige Anfahr- und Bremsgeräusche, Türschließgeräusche und Kommunikation von Fahrgästen berücksichtigt.
      • Werden in Gleisbögen mit Radien r< 200 m keine wirksamen Schallminderungsmaßnahmen zur Reduzierung der Kurvengeräusche getroffen, ist – zusätzlich zur Annahme der ersatzweise angenommenen Geschwindigkeit von v = 50 km/h – der Pegel der längenbezogenen Schallleistung von Rollgeräuschen nach der Gleichung (Gl. 1) wegen der besonderen Auffälligkeit des Kurvengeräusches um KL = 4 dB zu erhöhen.
      • Anmerkung 2: Wirksame Schallminderungsmaßnahmen können z. B. Behandlungsmaßnahmen am Schienenkopf und Radabsorber sein. Spurkranzschmiereinrichtungen können einen Beitrag zur Minderung der typischen Geräusche in Gleisbögen leisten, sie verhindern jedoch nicht vollständig das Auftreten dieser Geräusche.
    • 5.4
    • Fahrbahnarten
    • Die in Beiblatt 2 aufgeführten akustischen Kenndaten gelten für Fahrzeugarten auf Schwellengleisen im Schotterbett und für ein durchschnittlich gepflegtes Rad-Schiene-System. Für andere Fahrbahnarten sind aufgrund der Schienen- und Radrauheit für die Teilquellen 1 und 2 Pegelkorrekturen nach Tabelle 15 vorzunehmen.
    • Anmerkung: Schwellengleise im Schotterbett schließen Beton-, Holz- und Stahlschwellen ein.
    • Tabelle 15: Pegelkorrekturen c1 für andere Fahrbahnarten im Vergleich zum Schwellengleis im Schotterbett

      SpalteABC
      ZeileFahrbahnartAnwendung
      Teilquelle
      m
      Pegelkorrekturen c1 in dB
      für Oktavband-Mittenfrequenz, in Hz
      631252505001 0002 0004 0008 000
      1Straßenbündiger Bahnkörper und feste Fahrbahn1, 223258421
      2Begrünter Bahnkörper – Gleiseindeckung mit tief liegender Vegetationsebene1, 2–2–4–3–1–1–1–1–3
      3Begrünter Bahnkörper – Gleiseindeckung mit hoch liegender Vegetationsebene1, 21–1–3–4–4–7–7–5
    • Festlegungen zu Tabelle 15:
    • Bei Bahnübergängen im Bereich von Schwellengleisen im Schotterbett oder im Bereich von Fahrbahnarten nach den Zeilen 2 und 3 ist die Pegelkorrektur c1 nach Zeile 1 für Teilstücke, die der 2-fachen Straßenbreite entsprechen, anzusetzen; Pegelkorrekturen für andere Fahrbahnarten sind nicht zusätzlich zu berücksichtigen.
    • 5.5
    • Brücken und Viadukte
    • Bei der Überfahrt eines Zuges über eine Brücke ist die Schallemission des Brückenüberbaus durch eine Korrektur, die auch die Belästigung aufgrund tieffrequenter Geräuschanteile enthält, zu berücksichtigen. Die Korrektur wird als „kombinierte Brücken- und Fahrbahn-Korrektur“ KBr angegeben, da sie neben der Schallabstrahlung der Brücke auch den Einfluss der Fahrbahn auf der Brücke enthält. Eine Korrektur für die Fahrbahnart nach Tabelle 15 ist daher nicht zusätzlich anzusetzen.
    • Maßnahmen, die zu einer Minderung der Schallabstrahlung einer Brücke führen, werden durch einen Abschlag – die Korrektur KLM – berücksichtigt und sind als Schallminderungsmaßnahme, nicht als Änderung der Brücken- oder Fahrbahnart anzusetzen. Für die gebräuchlichsten Brücken- und Oberbau-Typen sind die Pegelkorrekturen K in Tabelle 16 angegeben. Abweichungen von Tabelle 16 sind nur nach Festlegung durch die zuständige Behörde nach § 5 Absatz 2 zu berücksichtigen. Die Korrektur erfolgt für die lichte Weite der Brücke zwischen den Widerlagern zuzüglich auf jeder Seite 2 m. Die Pegelkorrekturen gelten für die Teilquellen 1 und 2 der Tabelle 13. Für die anderen Teilquellen m ist K = 0 anzusetzen. Korrekturen für Fahrbahnarten nach Tabelle 15 Zeile 1 bis 3 sind nicht anzusetzen.
    • Tabelle 16: Korrekturen KBr und KLM für Brücken und Viadukte

      SpalteABC
      ZeileBrücken- und FahrbahnartKBr
      dB
      KLM
      dB
      1Brücken mit stählernem Überbau, Gleise direkt aufgelagert12–6
      2Brücken mit stählernem Überbau und Schwellengleis im Schotterbett6–3
      3Brücken mit stählernem Überbau oder massiver Fahrbahnplatte, Gleise
      in Straßenfahrbahn eingebettet (Rillenschiene)
      4
      4Brücken mit massiver Fahrbahnplatte oder mit besonderem stählernen Überbau, Gleise auf Schwellengleis im Schotterbett3–3
      5Brücken mit massiver Fahrbahnplatte, Gleise direkt aufgelagert
      (feste Fahrbahn)
      4
    • Festlegungen zu Tabelle 16:
    • Zeile 1: Schienen sind direkt oder über Holzschwellen auf der Brückenkonstruktion befestigt. Die Abschläge für Schallminderungsmaßnahmen nach Spalte C sind anzusetzen, wenn zur Minderung der Schallabstrahlung der Brücke hochelastische Schienenbefestigungen mit den für die vorliegenden Bedingungen geringsten zugelassenen Werten für die Stützpunktsteifigkeit verwendet werden.
    • Spalte C: Die Pegelkorrekturen für Lärmminderungsmaßnahmen an Brücken mit Schotterbett (Zeilen 2 und 4) sind anzusetzen, wenn zur Minderung der Schallabstrahlung der Brücke Unterschottermatten mit den für die vorliegenden Bedingungen geringsten zugelassenen Werten für den Bettungsmodul verwendet werden.
    • Anmerkung zu Tabelle 16, Zeile 3, 4 und 5:
    • Fahrbahnplatte aus Stahlbeton, Spannbeton, Walzträger in Beton, Doppelverbundträger oder Gewölbebrücke; auch Verbundbrücke aus massiver Betonfahrbahnplatte und stählernen Brückenteilen. Der besondere stählerne Überbau unterscheidet sich von den in Zeile 2 beschriebenen Brücken durch konstruktive Maßnahmen zur Verhinderung von Resonanzen.
    • Bei einer Schallschutzwand auf einer direkt befahrenen oder einer mit Schotterbett ausgestatteten Brücke sind Schallminderungsmaßnahmen mit einer Mindestwirksamkeit nach Tabelle 16 Spalte C vorzusehen und in der Berechnung zu berücksichtigen.
  • 6.
  • Schallausbreitung
      6.1
    • Einflussgrößen auf den Ausbreitungswegen
    • Auf den Ausbreitungswegen des Schalls von einer Punktschallquelle zu einem Immissionsort ist das Ausbreitungsdämpfungsmaß A nach folgender Gleichung (Gl. 10) zu berücksichtigen:


    • Dabei bezeichnet:
      AdivA durch geometrische Ausbreitung nach Nummer 6.2,
      AatmA durch Luftabsorption nach Nummer 6.3,
      AgrA durch Bodeneinfluss nach Nummer 6.4,
      AbarA durch Abschirmung durch Hindernisse nach Nummer 6.5.
    • Schalldruckpegelerhöhungen durch Reflexionen sind nach Nummer 6.6 zu ermitteln, das Raumwinkelmaß DΩ infolge von Reflexionen, die am Boden nahe der Quelle entstehen, nach Nummer 3.5.
    • Unberücksichtigt bleiben nach dieser Anlage
      • Pegelminderung durch Bewuchs und
      • Schallausbreitung mit Reflexionen höher als der 3. Ordnung.
    • Anmerkung 1: Die Berechnungsverfahren beschreiben die ausbreitungsgünstigen Witterungsbedingungen, wie sie bei leichtem Mitwind oder/und leichter Bodeninversion auftreten, beispielsweise in klaren, windstillen Nächten.
    • Anmerkung 2: Indizes kS für den Abschnitt einer Linienschallquelle oder kF für den einer Flächenschallquelle sind in den Gleichungen der Nummer 6 nicht mitgeführt.
    • 6.2
    • Geometrische Ausbreitung
    • Die Dämpfung der geometrischen Ausbreitung wird für die kugelförmige Schallausbreitung von einer ungerichtet abstrahlenden Punktschallquelle im Freifeld nach folgender Gleichung (Gl. 11) berechnet:


    • Dabei bezeichnet:
      dLaufweglänge zwischen Punktschallquelle und Immissionsort, in m,
      d0 = 1 mBezugslänge.
    • 6.3
    • Luftabsorption
    • Die Dämpfung durch Luftabsorption während der Schallausbreitung wird nach folgender Gleichung (Gl. 12) berechnet:


    • Dabei bezeichnet:
      αAbsorptionskoeffizient der Luft, in dB je 1 000 m für jedes Oktavband bei der Bandmittenfrequenz.
    • Als Standardwerte sind die Absorptionskoeffizienten nach Tabelle 17 anzusetzen.
    • Tabelle 17: Absorptionskoeffizienten der Luft für Oktavbänder

      SpalteAB
      ZeileBezeichnungOktavband-Mittenfrequenz ƒ, in Hz
      1631252505001 0002 0004 0008 000
      2Absorptionskoeffizient α in dB je 1 000 m0,10,41,01,93,79,732,8117
    • Anmerkung zu Tabelle 17:
    • Die in dieser Anlage zu verwendenden Absorptionskoeffizienten entsprechen den Angaben von DIN ISO 9613-2, Akustik – Dämpfung des Schalls bei der Ausbreitung im Freien, Teil 2: Allgemeines Berechnungsverfahren, Ausgabe Oktober 1999, für eine Temperatur von 10 °C und eine relative Luftfeuchte von 70 Prozent.
    • 6.4
    • Bodeneinfluss
    • Die Dämpfung durch Bodeneinfluss errechnet sich nach dieser Anlage frequenzunabhängig nach folgender Gleichung (Gl. 13):


    • Dabei bezeichnet:
      Agr,BDämpfungsmaß durch Bodenabsorption über Boden nach (Gl. 14),
      Agr,WDämpfungsmaß durch Reflexion über Wasser nach (Gl. 16),


    • Dabei bezeichnet:


    • dAbstand zwischen Schallquellenmitte und Immissionsort, in m,
      SFläche zwischen Laufweg und Boden, in m².
    • Anmerkung: Die Schreibweise der Gleichung (Gl. 14) soll angeben, dass nach dem mittleren Teil der Formel negativ berechnete Werte durch 0 dB ersetzt werden.


    • Dabei bezeichnet:
      dWAbschnitt der horizontalen Entfernung zwischen Schallquellenmitte und Immissionsort über Wasserflächen, in m.




    • Bild 4: Verfahren zur Bestimmung der mittleren Höhe hm = S/d
    • 6.5
    • Abschirmung durch Hindernisse
    • Ein Objekt auf dem Ausbreitungsweg zwischen Punktschallquelle und Immissionsort ist als Hindernis zu berücksichtigen, wenn es die folgenden Anforderungen erfüllt:
      • In der Projektion auf den Grundriss durchquert der Schallstrahl eine oder mehrere Beugungskanten des Hindernisses (siehe Bild 5),
      • die flächenbezogene Masse des Hindernisses beträgt mindestens 10 kg/m2,
      • das Hindernis hat eine akustisch geschlossene Oberfläche und
      • die Horizontalabmessung lh des Hindernisses senkrecht zur Verbindungslinie zwischen Quelle und Empfänger ist größer als die Schallwellenlänge λ bei der Oktavband-Mittenfrequenz nach folgender Gleichung (Gl. 17):


    • Dabei bezeichnet:


      Schallwellenlänge bei der Oktavband-Mittenfrequenz ƒm, in m,
      llsenkrechter Abstand zwischen Verbindungslinie Quelle – Empfänger und 1. Endpunkt des Hindernisses, in m,
      lrsenkrechter Abstand zwischen Verbindungslinie Quelle – Empfänger und 2. Endpunkt des Hindernisses, in m.




    • Bild 5: Schallweg über ein Hindernis mit zwei wirksamen parallelen Kanten
    • Eine Schirmkante, über die der Schall hinweg gebeugt wird, ist dann als Oberkante zu bezeichnen, wenn sie mit der Horizontalen einen Winkel von weniger als 45° bildet. Anderenfalls wird sie als Seitenkante bezeichnet, um die herum eine seitliche Beugung auftritt. Eine Oberkante wird als Folge von Geradenstücken modelliert, eine Seitenkante als eine Gerade. Bahnsteige, Bahnsteigdächer sowie stehende oder bewegte Reise- bzw. Güterzüge, einzelne Reise- oder Güterzugwagen, Straßenbahnen, abgestellte und aufgestapelte Container sowie andere bewegliche Hindernisse gelten nicht als Hindernisse im Ausbreitungsweg. Für niedrige Schallschutzwände 1,0 m >hLSW> 0,5 m mit einem Abstand von ds< 2 m zur nächstgelegenen Gleisachse ist die Höhe hLSW über der Schienenoberkante für die Schallausbreitungsberechnung um 30 Prozent zu reduzieren. Bahnsteigkanten sind nicht als Hindernisse zu betrachten.
    • Die Dämpfung des Schalls durch seitliche Beugung um ein Hindernis herum wird nach folgender Gleichung (Gl. 18) berechnet:


    • Dabei bezeichnet:
      DzAbschirmmaß nach Gleichung (Gl. 21), in dB.
    • Bei der Beugung über ein Hindernis wird die Dämpfung durch Abschirmung nach folgender Gleichung (Gl. 19) berechnet:


    • Dabei bezeichnet:



    • Pegelkorrektur für reflektierende Schallschutzwände im Abstand
      ds 5 m mit absorbierendem Sockel der Höhe habs über der Schienenoberkante, in dB,
      AgrBodeneinfluss nach der Gleichung (Gl. 13), in dB.
    • Anmerkung 1: Infolge von Gleichung (Gl. 19) beinhaltet die Gleichung (Gl. 10) anstelle der getrennten Ausweisung von Abar und Agr zusammenfassend das Abschirmmaß Dz – ggf. mit einer Pegeldifferenz für reflektierende Aufsätze nach der Gleichung (Gl. 20) – zur Beschreibung der Schirmwirkung.
    • Anmerkung 2: Die Ausbreitung des Schalls ist für die Ausbreitungswege w über die Oberkante und die Seitenkanten des Hindernisses zu berechnen.
    • Anmerkung 3: Dreƒl berücksichtigt die Mehrfachreflexion zwischen reflektierender Schallschutzwand und Wagenaufbau. Zusätzlich sind Reflexionen an der Schallschutzwand nach Nummer 6.6 zu berücksichtigen.
    • Anmerkung 4: Die Schreibweise der Gleichungen (Gl. 18), (Gl. 19) und (Gl. 20) soll angeben, dass nach dem mittleren Teil der Formel negativ berechnete Werte durch 0 dB ersetzt werden.
    • Anmerkung 5: Bei Abständen > 5 m zwischen Schallquelle und reflektierender Schallschutzwand kann Dreƒl vernachlässigt werden.
    • Das Abschirmmaß Dz ist nach folgender Gleichung (Gl. 21) zu berechnen:


    • Dabei bezeichnet:
      C2 = 40Abschirmfaktor für Bahnstrecken mit Schallquellenarten nach den Tabellen 5 und 13,
      C2 = 20Abschirmfaktor für flächenhafte Bahnanlagen mit Schallquellenarten nach Tabelle 10,
      C3 = 1Abschirmfaktor für Einfachbeugung,


    • Korrekturfaktor für meteorologische Einflüsse.
    • Bei parallelen Beugungskanten gilt:


    • Schirmwert als Differenz zwischen den Laufweglängen des gebeugten und des direkten Schalls. Wenn eine Sichtverbindung zwischen Schallquelle und Immissionsort besteht, wird z mit negativem Vorzeichen versehen.
      dsAbstand von der Punktschallquelle zur (ersten) Beugungskante, in m,
      drAbstand von der (letzten) Beugungskante zum Immissionsort, in m,
      eLaufweglänge zwischen erster und letzter Schirmkante, in m,
      dПAbstand zwischen Punktschallquelle und Immissionsort, gemessen parallel zur Beugungskante (siehe Bild 5), in m,
      dLaufweglänge zwischen Quelle und Immissionsort, in m.




    • Bild 6: Beispiel für einen Schallweg über mehr als zwei maßgebliche
      parallele Beugungskanten; zu vernachlässigende Kanten sind durch x markiert
    • Die Auswahl der maßgeblichen Beugungskanten erfolgt nach der sogenannten Gummibandmethode. Kanten, die von einem Gummiband, das von der Punktschallquelle zum Immissionsort gespannt wird, nicht berührt werden, bleiben für die Mehrfachbeugung unberücksichtigt.
    • Bei nicht parallelen Beugungskanten, d. h. wenn mindestens eine Beugungskante nicht parallel zu den übrigen am Gummiband beteiligten Beugungskanten ist, gilt:








    • Bild 7: Beispiel für einen Schallweg über mehr als zwei maßgebliche nicht
      parallele Beugungskanten; zu vernachlässigende Kanten sind durch x markiert
    • Mehrfachbeugung wird nur berücksichtigt, wenn der Weg des gebeugten Schalls, wie in Bild 6 beispielhaft dargestellt, über mehrere Kanten führt.
    • Bei der Festlegung von Schallminderungsmaßnahmen sind die akustischen Eigenschaften zur Schalldämmung und Schallabsorption nach dem Stand der Technik zu beachten.
    • Das Abschirmmaß Dz in einem beliebigen Oktavband sollte bei Einfachbeugung (d. h. bei dünnen Schallschirmen) nicht größer als 20 dB und bei Doppelbeugung (d. h. bei dicken Schallschirmen) nicht größer als 25 dB angenommen werden.
    • 6.6
    • Pegelerhöhung durch Reflexionen
    • Bei reflektierenden oder teilweise reflektierenden Schallschutzwänden (z. B. bei Glasaufsätzen) sind die reflektierenden oder absorbierenden Eigenschaften der Schallschutzwände in der Berechnung durch Spiegelquellen oder Spiegelempfänger zu berücksichtigen. Zusätzlich werden die Reflexionen zwischen reflektierender Schallschutzwand und Wagenaufbauten durch Verminderung der Abschirmwirkung nach der Gleichung (Gl. 20) berücksichtigt.
    • Reflexionen werden nach dieser Anlage durch inkohärente Spiegelquellen berücksichtigt. Am Boden in Quellnähe werden sie nach der Gleichung (Gl. 9) über ein Raumwinkelmaß mit der Stärke der Originalquelle verbunden. Reflexionen an Gebäuden und Schallschirmen sind für alle Oktavbänder nur dann zu berechnen, wenn jede der nachfolgend genannten Anforderungen erfüllt ist:
      • Eine geometrische/spiegelnde Reflexion ist, wie in Bild 8 schematisch dargestellt, konstruierbar.
      • Der Schallreflexionsgrad der Hindernisoberfläche ist größer als ρ = 0,2.
      • Die kleinste Abmessung des Reflektors genügt der folgenden Gleichung (Gl. 27):


    • Dabei bezeichnet:
      lminkleinste Abmessung des Reflektors, in m,
      βWinkel zwischen der Verbindungslinie Quelle zu Immissionsort und der Reflektornormalen,


      Schallwellenlänge bei der Oktavband-Mittenfrequenz ƒm, in m,
      dsoLaufweg des Schalls von der Punktschallquelle Q zum Reflektor R, in m,
      dorLaufweg des Schalls vom Reflektor R zum Immissionsort IO, in m.




    • Bild 8: Spiegelreflexion an einem Hindernis
    • Der A-bewertete Schallleistungspegel der Spiegelschallquelle LWA,im ist nach folgender Gleichung (Gl. 28) zu berechnen:


    • Dabei bezeichnet:
      LWAA-bewerteter Schallleistungspegel nach den Gleichungen (Gl. 7) und (Gl. 8), in dB,
      DρAbsorptionsverlust für Reflexionen an der Wandoberfläche nach Tabelle 18, in dB,
      DIrRichtwirkungsmaß der Punktschallquelle in der Richtung des Spiegelschallempfängers (siehe Gleichung (Gl. 8)), in dB.
    • Die Frequenzabhängigkeit von Absorptionsverlust und Richtwirkungsmaß bleibt in dieser Anlage unberücksichtigt.
    • Tabelle 18: Absorptionsverlust an Wänden

      SpalteAB
      ZeileWandoberflächeAbsorptionsverlust
      Dρ in dB
      1Ebene und harte Wände0
      2Gebäudewände mit Fenstern und kleinen Anbauten1
      3Absorbierende Schallschutzwände4
      4Hoch absorbierende Schallschutzwände8
    • Anmerkung zu Zeile 1: z. B. gekachelte Stützwände, glatte Betonoberflächen.
    • Direkte und reflektierte Beiträge werden getrennt ermittelt. Für Spiegelquellen sind die Dämpfungsterme nach der Gleichung (Gl. 10) sowie Dρ und DIr nach der Gleichung (Gl. 28) entsprechend dem Ausbreitungsweg des reflektierten Schalls zu bestimmen. Es sind Reflexionen bis einschließlich der 3. Ordnung zu berechnen.
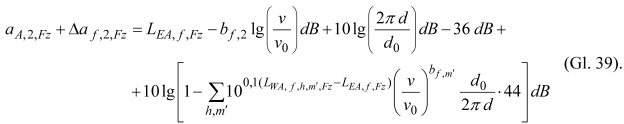
  • 7.
  • Berechnung der Schallimmission
  • Die Schallimmission an einem Immissionsort wird als äquivalenter Dauerschalldruckpegel LpAeq für den Zeitraum einer vollen Stunde errechnet: Er wird gebildet durch energetische Addition der Beiträge von
    • allen Teilschallquellen in Oktavbändern mit Mittenfrequenzen von 63 Hz bis 8 000 Hz,
    • allen Höhenbereichen h,
    • allen Teilstücken kS,
    • allen Teilflächen kF und
    • allen Ausbreitungswegen w.
  • An Strecken der Eisenbahn und Straßenbahn sind Summationen der Schalldruckpegel nach folgender Gleichung (Gl. 29) durchzuführen:


  • Dabei bezeichnet:
    ƒZähler für Oktavband,
    hZähler für Höhenbereich,
    kSZähler für Teilstück oder einen Abschnitt davon,
    wZähler für unterschiedliche Ausbreitungswege,
    LWA,f,h,kSA-bewerteter Schallleistungspegel der Punktschallquelle in der Mitte des Teilstücks kS, der die Emission aus dem Höhenbereich h angibt nach der Gleichung (Gl. 6), in dB,
    DI,kS,wRichtwirkungsmaß für den Ausbreitungsweg w nach der Gleichung (Gl. 8), in dB,
    DΩkSRaumwinkelmaß nach der Gleichung (Gl. 9), in dB,
    Af,h,kS,wAusbreitungsdämpfungsmaß im Oktavband ƒ im Höhenbereich h vom Teilstück kS längs des Weges w nach der Gleichung (Gl. 10), in dB.
  • An Rangier- und Umschlagbahnhöfen sind Summationen der Energie unter Berücksichtigung der Gleichungen (Gl. 3), (Gl. 4) und (Gl. 7) vorzunehmen:


  • Dabei bezeichnet:
    RIndex für Rangierbahnhof,
    ƒZähler für Oktavband,
    hZähler für Höhenbereich,
    iZähler für Punktschallquellen,
    kSZähler für Teilstück,
    kFZähler für Teilfläche,
    wZähler für Ausbreitungsweg,
    LWA,ƒ,h,iA-bewerteter Schallleistungspegel der Punktschallquelle i nach der Gleichung (Gl. 3), in dB,
    LWA,f,h,kSA-bewerteter Schallleistungspegel des Teilstücks kS nach der Gleichung (Gl. 6), in dB,
    LWA,f,h,kFA-bewerteter Schallleistungspegel der Teilfläche kF nach der Gleichung (Gl. 7), in dB,
    DΩRaumwinkelmaß nach der Gleichung (Gl. 9), in dB,
    Aƒ,wAusbreitungsdämpfungsmaß im Oktavband ƒ längs des Weges w nach der Gleichung (Gl. 10), in dB.
  • 8.
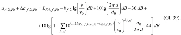
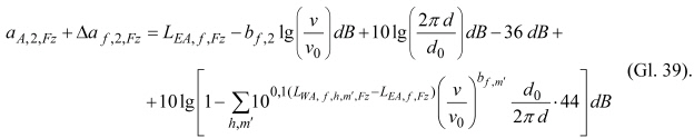
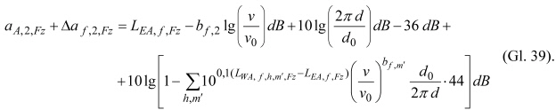
  • Beurteilungspegel
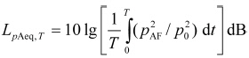
      8.1
    • Äquivalenter Dauerschalldruckpegel in Beurteilungszeiträumen
    • Liegen die Verkehrsmengen als Gesamtangaben über die gemäß § 4 Absatz 1 Satz 2 maßgeblichen Beurteilungszeiträume Tag (16 Stunden) bzw. Nacht (8 Stunden) vor, sind diese Verkehrsmengen auf mittlere Verkehrsmengen je Stunde für diese Zeiträume umzurechnen. Die äquivalenten Dauerschalldruckpegel werden daraus nach der Gleichung (Gl. 29) und der Gleichung (Gl. 30) berechnet und für Strecken der Eisenbahn und Straßenbahn mit Lp,Aeq,Tag, Lp,Aeq,Nacht bzw. für Rangier- und Umschlagbahnhöfe mit Lp,Aeq,Tag,R, Lp,Aeq,Nacht,R bezeichnet.
    • Liegen die Verkehrsmengen getrennt für jede Stunde in dem Beurteilungszeitraum vor, so sind die äquivalenten Dauerschalldruckpegel für den Beurteilungszeitraum Tag und für den Beurteilungszeitraum Nacht nach den folgenden Gleichungen (Gl. 31) und (Gl. 32) zu ermitteln:


    • Dabei bezeichnet:
      TZähler für volle Stunden des Beurteilungszeitraums Tag (6 Uhr bis 22 Uhr),
      NZähler für volle Stunden des Beurteilungszeitraums Nacht (22 Uhr bis 6 Uhr).
    • 8.2
    • Beurteilungspegel für Eisenbahnen
        8.2.1
      • Strecken
      • An einem Immissionsort, der durch Geräusche von einer Strecke für Eisenbahnen mit oder ohne Bahnhöfe, Haltestellen oder Haltepunkte betroffen ist, wird der Beurteilungspegel nach § 4 Absatz 1 Satz 2 getrennt für den Beurteilungszeitraum Tag (6 Uhr bis 22 Uhr) und den Beurteilungszeitraum Nacht (22 Uhr bis 6 Uhr) nach folgenden Gleichungen (Gl. 33) und (Gl. 34) berechnet:


      • Dabei bezeichnet:
        Lr,TagBeurteilungspegel für den Beurteilungszeitraum Tag (6 Uhr bis 22 Uhr), in dB,
        Lr,NachtBeurteilungspegel für den Beurteilungszeitraum Nacht (22 Uhr bis 6 Uhr), in dB,
        Lp,Aeq,Tag, Lp,Aeq,Nachtäquivalenter Dauerschalldruckpegel von Strecken, in dB,
        KS = –5 dBPegelkorrektur Straße – Schiene nach Nummer 2.2.18.
      • Pegelkorrekturen für ton-, impuls- oder informationshaltige Geräusche sind in der Berechnung der Schallemission enthalten und werden bei der Bildung des Beurteilungspegels nicht gesondert angesetzt.
      • Zum Vergleich mit den Immissionsgrenzwerten nach § 2 sind die Beurteilungspegel Lr,Tag und Lr,Nacht auf ganze dB aufzurunden. Im Fall des § 1 Absatz 2 Nummer 2 ist erst die Differenz des Beurteilungspegels aufzurunden.
      • 8.2.2
      • Rangier- und Umschlagbahnhöfe
      • An einem Immissionsort, der durch Geräusche von einem Rangier- oder Umschlagbahnhof sowie von Eisenbahnstrecken betroffen ist, wird der Beurteilungspegel gemäß § 4 Absatz 1 Satz 2 getrennt für den Beurteilungszeitraum Tag (6 Uhr bis 22 Uhr) und den Beurteilungszeitraum Nacht (22 Uhr bis 6 Uhr) nach folgenden Gleichungen (Gl. 35) und (Gl. 36) berechnet:


      • Dabei bezeichnet:
        Lr,TagBeurteilungspegel für den Beurteilungszeitraum Tag (6 Uhr bis 22 Uhr),
        in dB,
        Lr,NachtBeurteilungspegel für den Beurteilungszeitraum Nacht (22 Uhr bis 6 Uhr), in dB,
        Lp,Aeq,Tag,R, Lp,Aeq,Nacht,Räquivalenter Dauerschalldruckpegel aus dem Bereich des Rangier- oder Umschlagbahnhofs, in dB,
        Lp,Aeq,Tag, Lp,Aeq,Nachtäquivalenter Dauerschalldruckpegel aus dem Bereich durchgehender Streckengleise, in dB,
        KS = –5 dBPegelkorrektur Straße – Schiene im Sinne von Nummer 2.2.18 (gilt nicht für ein- und ausfahrende Züge und Rangierfahrten).
      • Pegelkorrekturen für ton-, impuls- oder informationshaltige Geräusche werden nicht gesondert angesetzt. Solche Korrekturen sind in der Schallemission enthalten.
      • Zum Vergleich mit den Immissionsgrenzwerten nach § 2 sind die Beurteilungspegel Lr,Tag und Lr,Nacht auf ganze dB aufzurunden. Im Fall des § 1 Absatz 2 Nummer 2 ist erst die Differenz des Beurteilungspegels aufzurunden.
    • 8.3
    • Beurteilungspegel für Straßenbahnen
    • An einem Immissionsort, der durch Geräusche von einer Strecke für Straßenbahnen betroffen ist, wird der Beurteilungspegel nach § 4 Absatz 1 Satz 2 getrennt für den Beurteilungszeitraum Tag (6 Uhr bis 22 Uhr) und den Beurteilungszeitraum Nacht (22 Uhr bis 6 Uhr) nach folgenden Gleichungen (Gl. 37) und (Gl. 38) berechnet:


    • Dabei bezeichnet:
      Lr,TagBeurteilungspegel für den Beurteilungszeitraum Tag (6 Uhr bis 22 Uhr), in dB,
      Lr,NachtBeurteilungspegel für den Beurteilungszeitraum Nacht (22 Uhr bis 6 Uhr), in dB,
      Lp,Aeq,Tag, Lp,Aeq,Nachtäquivalenter Dauerschalldruckpegel von Strecken, in dB,
      KS = –5 dBPegelkorrektur zur Berücksichtigung der geringeren Störwirkung des Schienenverkehrslärms gegenüber dem Straßenverkehr nach Nummer 2.2.18.
    • Pegelkorrekturen für ton-, impuls- oder informationshaltige Geräusche sind in der Berechnung der Schallemission enthalten und werden bei der Bildung des Beurteilungspegels nicht gesondert angesetzt (siehe Nummer 4.9). Die Regelungen nach § 43 Absatz 1 Satz 2 und 3 des Bundes-Immissionsschutzgesetzes in der Fassung vom 12. Juli 2013 bleiben unberührt.
    • Zum Vergleich mit den Immissionsgrenzwerten nach § 2 sind die Beurteilungspegel Lr,Tag und Lr,Nacht auf ganze dB aufzurunden. Im Fall des § 1 Absatz 2 Nummer 2 ist erst die Differenz des Beurteilungspegels aufzurunden.
  • 9.
  • Berücksichtigung von abweichender Bahntechnik und von schalltechnischen Innovationen
      9.1
    • Messtechnische Ermittlung der Emissionsdaten von abweichender Bahntechnik und von schalltechnischen Innovationen
        9.1.1
      • Fahrzeuge
      • Der Nachweis von schalltechnischen Innovationen an Fahrzeugeinheiten hat nach folgenden Maßgaben zu erfolgen: Die Schallemissionen solcher Fahrzeugeinheiten sind zu ermitteln durch Vorbeifahrtmessungen auf einem Schwellengleis und Standmessungen nach DIN EN ISO 3095:2014-7, Akustik – Bahnanwendungen – Messung der Geräuschemissionen von spurgebundenen Fahrzeugen (ISO 3095:2014-7); Deutsche Fassung EN ISO 3095:2014-7, unter Berücksichtigung der zusätzlichen Messanforderungen der Entscheidung 2008/232/EG der Kommission vom 21. Februar 2008 über die technische Spezifikation für die Interoperabilität des Teilsystems „Fahrzeuge“ des transeuropäischen Hochgeschwindigkeitsbahnsystems (bekannt gemacht unter Aktenzeichen K(2008) 648) (ABl. L 84 vom 26. März 2008, S. 132) (TSI) für Eisenbahnen und VDV-Schrift 154 Geräusche von Schienenfahrzeugen des Öffentlichen Personen-Nahverkehrs (ÖPNV), November 2011 für Straßenbahnen. Die Vorbeifahrtmessungen sollen nach mindestens drei Betriebsbremsungen durchgeführt worden sein.
      • Anmerkung 1: Es können Ergebnisse von Messungen genutzt werden, die aus anderen Gründen ohnehin durchgeführt worden sind, wie z. B. im Rahmen der Zulassung neuer interoperabler Fahrzeuge von Eisenbahnen nach Entscheidung 2008/232/EG der Kommission oder von Straßenbahnen nach VDV-Schrift 154 bzw. im Ausland ermittelte Emissionsdaten.
      • Anmerkung 2: In Sonderfällen kann die Anwendung von Richtmikrofonen oder einer Array-Messtechnik zur Erfassung von einzelnen Schallquellen zweckmäßig sein.
      • Anmerkung 3: Schalltechnische Innovationen können geringere oder höhere Schallemissionen als die in dieser Anlage geregelte Technik hervorrufen. Höhere Schallemissionen können z. B. durch schnellere Hochgeschwindigkeitszüge, zugkräftigere Lokomotiven oder auch ältere, importierte Eisenbahntechnik oder Straßenbahntechnik auftreten.
      • Die Ergebnisse der Vorbeifahrtmessungen sind für die Höchstgeschwindigkeit im Regelverkehr rechnerisch aufzuteilen auf Beiträge von
        • Rollgeräuschen,
        • aerodynamischen Geräuschen (nur für Eisenbahnen),
        • Aggregatgeräuschen,
        • Antriebsgeräuschen und
        • Fahrgeräuschen (nur Straßenbahnen).
      • Dazu dienen Angaben von Pegeln der auf eine Länge von 100 km bezogenen A-bewerteten Schallleistung in den acht Oktavbändern mit Mittenfrequenzen von 63 Hz bis 8 000 Hz. Sofern nicht durch Standmessungen und besondere Messungen – z. B. hinter einem Schallschirm, mit einem Richtmikrofon oder im Windkanal – bekannt, sind die Geräuschemissionsdaten für aerodynamische Geräusche, Aggregate- und Antriebsgeräusche für die gemäß Beiblatt 1 oder Beiblatt 2 zugeordnete Fahrzeugart in dem jeweiligen Höhenbereich der Emission zu übernehmen.
      • Anmerkung 4: Ergibt beispielsweise die Vorbeifahrtmessung einer V-Lok bei der Geschwindigkeit v im Abstand d in der Höhe h über SO im Oktavband ƒ einen A-bewerteten Einzelereignispegel LEA,ƒ und die Messung der Abgasgeräusche im Stand bei gleicher Motorleistung einen Schallleistungspegel LWA,aggr, so wird – unter Berücksichtigung von Emissionswerten der aerodynamischen und Antriebsgeräusche sowie von Aggregatgeräuschen, die zusätzlich zum Abgasgeräusch nach dem Einzelblatt für V-Loks bei der Geschwindigkeit v auftreten – das Rollgeräusch auf sehr glatten Schienen nach folgender Gleichung ermittelt:


      • Dabei bezeichnet:
        ɑA,2,FzA-bewerteter Summenschallpegel der längenbezogenen Schallleistung bei der Bezugsgeschwindigkeit v0 = 100 km/h auf Schwellengleis für das Rollgeräusch aufgrund der Radrauheit (Teilquelle m = 2), in dB,
        Δaƒ,2,FzPegeldifferenz der längenbezogenen Schallleistung bei der Bezugsgeschwindigkeit v0 = 100 km/h auf Schwellengleis für das Rollgeräusch aufgrund der Radrauheit (Teilquelle m = 2), im Oktavband ƒ, in dB,
        LEA,ƒA-bewerteter Einzelereignispegel je Oktavband, in dB,
        bƒ,2Geschwindigkeitsfaktor für Rollgeräusche (Teilquelle m = 2) nach Tabelle 6,
        vGeschwindigkeit während der Vorbeifahrt, in km/h,
        v0 = 100 km/hBezugsgeschwindigkeit,
        LWA,ƒ,h,m´,FzA-bewerteter Oktav-Schallleistungspegel anderer Teilquellen, in dB,
        bƒ,m´Geschwindigkeitsfaktor für andere Teilquellen nach Tabelle 6,
        m´Zähler für Teilquellen ohne m = 2.
      • Der Ausdruck unter dem Summenzeichen darf höchstens den Wert 0,5 annehmen, um eine Fremdgeräuschkorrektur zuzulassen. Die Zahlenwerte 36 und 44 gelten als Näherungen für Abstände d von 5 bis 10 m.
      • Tabelle 19: Abschätzung der schienenrauheitsbedingten Emission (Teilquelle m = 1)

        SpalteABC
        ZeileFahrflächenzustand der SchienenEnergetischer Beitrag zur Gesamt-
        emission
        Pegeldifferenz zur Radrauheit
        (Teilquelle
        m = 2)
        1Sehr glatt0 %–20 dB
        2Glatt, Grenzwert nach TSI bzw. VDV 15420 %–7 dB
        3Glatt, Grenzwert nach DIN EN ISO 3095:2014-740 %–4 dB
      • Die Rollgeräusche sind auf radrauheits- und schienenrauheitsbedingte Emissionen aufzuspalten. Dazu sind nachfolgende drei Verfahren zulässig:
          a)
        • Die Messungen wurden auf sehr glatten Schienen durchgeführt, deren Fahrflächenzustand jedoch nicht gemessen wurde. Dann wird die Rollgeräuschemission allein dem Fahrzeug zugeordnet (siehe Zeile 1 von Tabelle 19).
        • b)
        • Die Messungen wurden auf glatten Schienen mit nachgewiesenem Fahrflächenzustand durchgeführt. Dann wird nach Tabelle 19 eine Abschätzung der schienenrauheitsbedingten Emission vorgenommen. Der verbleibende Beitrag zur Gesamtemission, wenigstens aber 50 Prozent der Energie entsprechend einer Pegeldifferenz zur Radrauheit von –3 dB, wird dem Fahrzeug zugeordnet. Dies stellt den Regelfall dar.
        • c)
        • In begründeten Ausnahmefällen und für Straßenbahnen dürfen Messungen herangezogen werden, die auf Schienen mit unbekanntem Fahrflächenzustand durchgeführt wurden. Dann sind energetisch gleiche Beiträge von Rad- und Schienenrauheiten anzunehmen.
      • Das Verfahren nach Buchstabe c darf nicht für Fahrzeuge mit Grauguss-Klotzbremsen angewendet werden.
      • Anmerkung 5: Für Fahrzeuge ist allein die radrauheitsbedingte Emission von Interesse. Sie kann für Schienen mit gutem Fahrflächenzustand nach Verfahren nach Buchstabe a um bis zu 3 dB höher bestimmt werden als nach Verfahren nach Buchstabe c, während das Verfahren nach Buchstabe b im Mittelfeld liegt. Messungen an Schienen mit schlechterem Fahrflächenzustand liefern nach den drei Verfahren in der Regel unbeabsichtigt hohe radrauheitsbedingte Emissionswerte. Die schienenrauheitsbedingte Emission wird aus den Beiblättern 1 bis 3 für die zugeordnete Fahrzeugart übernommen. Für die radrauheitsbedingte Emission sind vorzugsweise Messergebnisse nach Verfahren nach Buchstabe b zu verwenden.
      • Anmerkung 6: Die Messergebnisse können unabhängig von Grenzwerten für Emissionsdaten nach der Entscheidung 2008/232/EG der Kommission für Eisenbahnen und VDV-Schrift 154 für Straßenbahnen herangezogen werden. Allerdings kann für Neufahrzeuge angenommen werden, dass die Grenzwerte nicht überschritten werden.
      • Die Ergebnisse für die radrauheitsbedingte Emission sind zur Umrechnung auf den durchschnittlichen Betriebszustand mit einem Zuschlag zu versehen, der nach Tabelle 20 von den Messbedingungen abhängt.
      • Anmerkung 7: Die Zuschläge wurden aus Erfahrungswerten zur Streuung von Messergebnissen in einer Datenbank abgeschätzt.
      • Tabelle 20: Zuschläge zur Umrechnung auf den durchschnittlichen Betriebszustand in Abhängigkeit von den Messbedingungen

        SpalteABCD
        Zeile1 Messort,
        Mittelwert über
        verschiedene Fz,
        in dB
        3 Messorte,
        Mittelwert über
        verschiedene Fz,
        in dB
        1 Messort
        (z. B. TSI, VDV 154),
        Mittelwert über
        gleiche Fz,
        in dB
        1Fahrzeuge mit Scheibenbremsen203
        2Fahrzeuge mit Verbundstoff-Klotzbremsen214
        3Fahrzeuge mit Grauguss-Klotzbremsen325
      • Wurden die Messungen nicht auf einem Schwellengleis (im Schotterbett) durchgeführt, sondern auf einer anderen Fahrbahn, sind bei der Aufteilung der Rollgeräusche die Pegelkorrekturen für Fahrbahnarten nach Tabelle 7 bzw. 15 anzuwenden.
      • 9.1.2
      • Komponenten von Fahrzeugen
      • Die Schallemission einer Fahrzeugkomponente als schalltechnische Innovation zu einer bereits geregelten Fahrzeugkategorie ist im Vergleich mit der Schallemission von Teilquellen bestehender Fahrzeuge (siehe Tabelle 5 und 13 Spalte D Beiblatt 1 und 2) zu erfassen und zu beurteilen. Dazu sind vor dem Nachweis vorab Messungen durchzuführen, aus denen sich ein maßgeblicher Beitrag der Komponente ableiten lässt. Als maßgeblich gilt ein Beitrag, der im Pegel höchstens um 3 dB unter dem Messwert für das Gesamtgeräusch liegt. Messungen nach DIN EN ISO 3095:2014-7 oder Sondermessungen – z. B. hinter einer Abschirmwand oder mit einem Richtmikrofon – sind zu beschreiben.
      • Anmerkung: Für hoch liegende Quellen wird empfohlen, hinter einer Abschirmwand oder mit einem Richtmikrofon gewonnene Messergebnisse heranzuziehen.
      • 9.1.3
      • Komponenten von Rangier- und Umschlagbahnhöfen
      • Die Schallemission einer Komponente als schalltechnische Innovation ist im Vergleich mit der Schallemission von bestehenden Teilquellen (siehe Tabelle 10 und Beiblatt 3) zu erfassen und zu beurteilen. Dazu sind vor dem Nachweis vorab Messungen durchzuführen, aus denen sich ein maßgeblicher Beitrag der Komponente ableiten lässt. Als maßgeblich gilt ein Beitrag, der im Pegel höchstens um 3 dB unter dem Messwert für das Gesamtgeräusch liegt. Die Messungen sind zu beschreiben.
      • 9.1.4
      • Fahrbahnen
      • Abweichende Bahntechnik und schalltechnische Innovationen an Fahrbahnen umfassen zum Beispiel die Steife der Schienenbefestigung oder eine bessere Absorptionseigenschaft der Fahrbahn. Sie sind im Vergleich mit bekannten Fahrbahnen ähnlicher Bauart nach den Tabellen 7 und 15 bei Betrieb mit gleichen Fahrzeugen zu erfassen und zu beurteilen. Die Emissionen sind durch Vorbeifahrtmessungen nach DIN EN ISO 3095:2014-7 unter Bedingungen, bei denen das Rollgeräusch überwiegt, zu ermitteln. Durch besondere Prüfung der Rad- und Schienenfahrflächen ist sicherzustellen, dass die resultierenden Fahrflächenrauheiten im Wellenlängenbereich, der nach Entscheidung 2008/232/EG der Kommission und VDV-Schrift 154 zu beachten ist, bei den Vergleichsmessungen sich in Oktavbändern um nicht mehr als 1 dB unterscheiden.
      • Vorzugsweise ist für die Vergleichsmessung ein Messfahrzeug einzusetzen, dessen Radfahrflächen glatt gegenüber den Schienenfahrflächen sind. Dann beschränkt sich die Prüfung auf die vergleichbare Rauheit der Schienenfahrflächen von konventionellen und neuartigen Fahrbahnen. Alternativ kann ein Messfahrzeug mit unverändert hoher Fahrflächenrauheit der Räder eingesetzt werden. Dann ist nur die Einhaltung eines zulässigen Grenzwerts für die Fahrflächenrauheit der Schienen zu prüfen, um sicherzustellen, dass bei Vergleichsmessungen von konventionellen und neuartigen Fahrbahnen der Einfluss der Schienenrauheit klein bleibt.
      • 9.1.5
      • Brücken
      • Neuartige Brücken können sich als schalltechnische Innovationen durch besondere Konstruktionen des Brückenüberbaus oder Schallminderungsmaßnahmen auszeichnen. Sie sind im Vergleich mit bekannten Brücken ähnlicher Bauart nach den Tabellen 9 und 16 bei Betrieb mit gleichen Fahrzeugen zu erfassen und zu beurteilen. Die Emissionen sind durch Vorbeifahrtmessungen an der Brücke und an der anschließenden freien Strecke unter Bedingungen, bei denen das Rollgeräusch überwiegt, zu ermitteln. Es ist der unbewertete Schalldruckpegel zu ermitteln. Durch besondere Prüfung der Rad- und Schienenfahrflächen ist sicherzustellen, dass die resultierenden Fahrflächenrauheiten im Wellenlängenbereich, der nach Entscheidung 2008/232/EG der Kommission und VDV-Schrift 154 zu beachten ist, bei den Vergleichsmessungen sich in Oktavbändern um nicht mehr als 1 dB unterscheiden.
      • Anmerkung: Durch die Auswertung des unbewerteten Schalldruckpegels wird die Belästigung aufgrund tieffrequenter Geräuschanteile berücksichtigt.
      • 9.1.6
      • Schallminderungsmaßnahmen am Gleis und am Rad
      • Schallminderungsmaßnahmen am Gleis und am Rad kommen sowohl als abweichende Bahntechnik als auch als schalltechnische Innovationen in Betracht. Abweichende Bahntechnik können auch Gleispflegemaßnahmen wie das besonders überwachte Gleis bei Straßenbahnen sein.
      • Die schalltechnischen Innovationen können zu einer Änderung des Rollgeräusches führen und sind in ihrer Wirkung mit der Schallquellenart Rollgeräusch, Teilquellen Schienenrauheit- oder Radrauheit der Tabellen 5 und 13 in Verbindung mit den Beiblättern 1 und 2 zu vergleichen. Zur Beschreibung dienen:
        • direkte Rauheitsmessungen mit umsetzbaren Aufnehmern,
        • indirekte Rauheitsmessungen an Bord eines Messfahrzeugs,
        • Vorbeifahrtmessungen mit einem Messfahrzeug oder
        • Schallmessungen während Zugvorbeifahrten.
      • Das verwendete Verfahren ist unter Angabe des Zeitraums der Messung und der Bestimmung eines Mittelwerts über einen Beurteilungszeitraum darzustellen. Zum Nachweis von Veränderungen sind die Messergebnisse als Gesamtpegel der A-bewerteten Schallleistung und als Pegeldifferenzen in den acht Oktavbändern mit Mittenfrequenzen von 63 Hz bis 8 000 Hz anzugeben.
      • 9.1.7
      • Bahnspezifische Schallschutzmaßnahme im Ausbreitungsweg
      • Abschirmeinrichtungen und ähnliche Maßnahmen, deren Wirkung nicht nach Nummer 6.5 berechenbar ist, sind als abweichende Bahntechnik in Zuordnung zu den bestehenden Regelungen zu beschreiben. Zur Nachweisführung von Veränderungen sind Messergebnisse in den acht Oktavbändern mit Mittenfrequenzen von 63 Hz bis 8 000 Hz als Pegeldifferenzen zum berechneten Abschirmmaß nach Nummer 6.5 anzugeben.
      • 9.1.8
      • Anerkannte Messstelle
      • Der Antragsteller hat die Nachweismessungen nach den Nummern 9.1.1 bis 9.1.7 durch eine anerkannte Messstelle durchführen zu lassen. Anerkannte Messstellen sind die nach § 29b Absatz 2 des Bundes-Immissionsschutzgesetzes bekannt gegebenen Stellen.
    • 9.2
    • Bewertung der Messergebnisse für abweichende Bahntechnik und für schalltechnische Innovationen
        9.2.1
      • Abweichende Bahntechnik
      • Die anerkannte Messstelle hat auf der Grundlage der Messungen nach Nummer 9.1 festzustellen, welche schalltechnischen Abweichungen zu bekannter und in der Anlage 2 aufgeführter Bahntechnik mit ähnlicher Bauart vorliegen. Bei Fahrbahnen nach Nummer 9.1.4 wird das Ergebnis als Pegelkorrektur gegenüber der Fahrbahn ähnlicher Bauart in den Oktavbändern um 500 Hz, 1 000 Hz und 2 000 Hz angegeben. Die übrigen Oktavbänder bleiben unberücksichtigt; für sie wird keine Pegelkorrektur angegeben. Bei Schallminderungsmaßnahmen am Gleis oder am Rad nach Nummer 9.1.6 sind zum Nachweis von Veränderungen die Messergebnisse als Gesamtpegel der A-bewerteten Schallleistung und als Pegeldifferenzen in den acht Oktavbändern mit Mittenfrequenzen von 63 Hz bis 8 000 Hz anzugeben.
      • Kennzeichnend für die abweichende Bahntechnik sind Pegeldifferenzen zur Emission von vergleichbaren, in den Beiblättern 1 bis 3 beschriebenen Teilquellen. Bei bahnspezifischen Schallschutzmaßnahmen im Ausbreitungsweg nach Nummer 9.1.7 sind zum Nachweis von Veränderungen Messergebnisse in den acht Oktavbändern mit Mittenfrequenzen von 63 Hz bis 8 000 Hz als Pegeldifferenzen zum berechneten Abschirmmaß nach Nummer 6.5 anzugeben.
      • 9.2.2
      • Schalltechnische Innovationen
      • Die anerkannte Messstelle hat auf der Grundlage der Messungen nach Nummer 9.1 festzustellen, ob der Antragsgegenstand von den schalltechnischen Angaben dieser Anlage wesentlich abweicht.
      • Eine wesentliche Abweichung liegt bei schalltechnischen Innovationen nach den Nummern 9.1.1 bis 9.1.6 vor, wenn für eine Teilquelle nach Tabelle 5 bzw. 13 die Abweichung im A-bewerteten Gesamtpegel für einzelne Fahrzeugarten nach Tabelle 3 bzw. 12 mindestens 2 dB oder in einzelnen Oktavbändern mindestens 4 dB beträgt. Für eine Schallschutzmaßnahme im Ausbreitungsweg nach Nummer 9.1.7 liegt in der Regel eine wesentliche Abweichung von den Rechenergebnissen nach Nummer 6 vor, wenn an einem Immissionsort nach DIN EN ISO 3095:2014-7 die Abweichung für das Rechenergebnis im A-bewerteten Gesamtpegel mindestens 2 dB oder in einzelnen Oktavbändern mindestens 4 dB beträgt.
      • Die anerkannte Messstelle hat für alle schalltechnischen Innovationen die Zuordnung des Antragsgegenstandes zu den bestehenden Beiblättern oder Festlegungen in den Nummern 3 bis 6 und die abweichende schalltechnische Wirkung zu beschreiben. Die schalltechnische Wirkung wird durch den Nachweis auf ganze dB nach mathematischer Rundung geführt.
      • Bei schalltechnischen Innovationen nach den Nummern 9.1.1, 9.1.2 und 9.1.3 sind die Ergebnisse als Gesamtpegel der A-bewerteten Schallleistung und als Pegeldifferenzen in acht Oktavbändern mit Mittenfrequenzen von 63 Hz bis 8 000 Hz für die Bezugsgeschwindigkeit von 100 km/h entsprechend den Beiblättern 1 bis 3 anzugeben. Kennzeichnend für schalltechnische Innovationen sind Pegeldifferenzen zur Emission von vergleichbaren, in den Beiblättern 1 bis 3 beschriebenen Teilquellen.
      • Bei schalltechnischen Innovationen nach Nummer 9.1.4 ist das Ergebnis als Pegelkorrektur gegenüber der Fahrbahn ähnlicher Bauart in den Oktavbändern um 500 Hz, 1 000 Hz und 2 000 Hz anzugeben. Die übrigen Oktavbänder bleiben unberücksichtigt; für sie wird keine Pegelkorrektur angegeben.
      • Bei schalltechnischen Innovationen nach Nummer 9.1.5 wird das Ergebnis als Pegelkorrektur KBr oder für Schallminderungsmaßnahmen als Pegelkorrektur KLM angegeben, die sich aus der Differenz der unbewerteten Schalldruckpegel an der Brücke und der freien Strecke ergibt.
    • 9.3
    • Gutachten der anerkannten Messstelle
    • Die vom Antragsteller beauftragte anerkannte Messstelle nach Nummer 9.1.8 erstellt über die nach Maßgabe der Nummern 9.1.1 bis 9.1.7 durchgeführten Messungen ein Gutachten, das die folgenden Angaben und Unterlagen enthalten muss:
        a)
      • die Beschreibung des Messaufbaus,
      • b)
      • die Beschreibung der örtlichen Verhältnisse sowie die Beschreibung des Zustands des Gleises und der Schienenoberflächen,
      • c)
      • die Beschreibung der meteorologischen Verhältnisse,
      • d)
      • die Beschreibung des Unterhaltungszustandes, der Laufleistung und der Radrauheit des bei der Messung eingesetzten Fahrzeugs,
      • e)
      • die Messprotokolle der durchgeführten Messungen,
      • f)
      • die Angabe der Zahl der durchgeführten Messungen, wenn mehr als die in der Begutachtung enthaltenen Messungen durchgeführt wurden,
      • g)
      • die Bewertung der Messergebnisse nach Maßgabe von Nummer 9.2.
  • 10.
  • Zugänglichkeit von technischen Regeln und Normen
      1.
    • Die in der Verordnung genannten DIN-Normen, DIN-EN-Normen und DIN-ISO-Normen sind bei der Beuth Verlag GmbH, Berlin, zu beziehen und in der Deutschen Nationalbibliothek archivmäßig gesichert niedergelegt.
    • 2.
    • Die VDV-Schrift 154 ist zu beziehen beim
    • Verband Deutscher Verkehrsunternehmen (VDV)
      Kamekestraße 37–39
      50672 Köln
  • und in der Deutschen Nationalbibliothek archivmäßig gesichert niedergelegt.
  • Beiblatt 1 Datenblätter Eisenbahnen – Festlegungen










  • Für den Thalys-PBKA-Halbzug und Thalys-PBKA-Vollzug ohne Radabsorber:
  • ɑA der Teilquellen 1 und 2 sind um je 5 dB zu erhöhen.








  • Für den ETR 470 Cisalpino ohne Radabsorber:
  • ɑA der Teilquellen 1 und 2 sind um je 5 dB, alle weiteren Teilquellen um je 2 dB zu erhöhen.
























  • Beiblatt 2 Datenblätter Straßenbahnen – Festlegungen






  • Für Fahrzeuge mit Klimaanlage:
  • ɑA der Teilquelle 4 ist um 8 dB zu erhöhen.








  • Die angegebenen Werte gelten für durchschnittliche Fahrzeuge neuerer Bauart. Insbesondere bei älteren Fahrzeugen ist eine Überprüfung nach Abschnitt 9.1.1 erforderlich.

  • Beiblatt 3 Datenblätter Rangier- und Umschlagbahnhöfe – Festlegungen












  • * Der angegebene LWA gilt für ein Bremselement mit der Länge von ca. 1,2 m.










  • * nret ist die Anzahl der Retarder pro laufenden Meter Gleis.




  • * nret ist die Anzahl der Retarder pro laufenden Meter Gleis.










  • * Die Auflaufgeschwindigkeit darf v = 1,25 m/s nicht überschreiten.



  • * Der Wert bezieht sich auf eine Rangiergruppe von 20 Wagen (400 m Länge).